0
svar
263
visningar
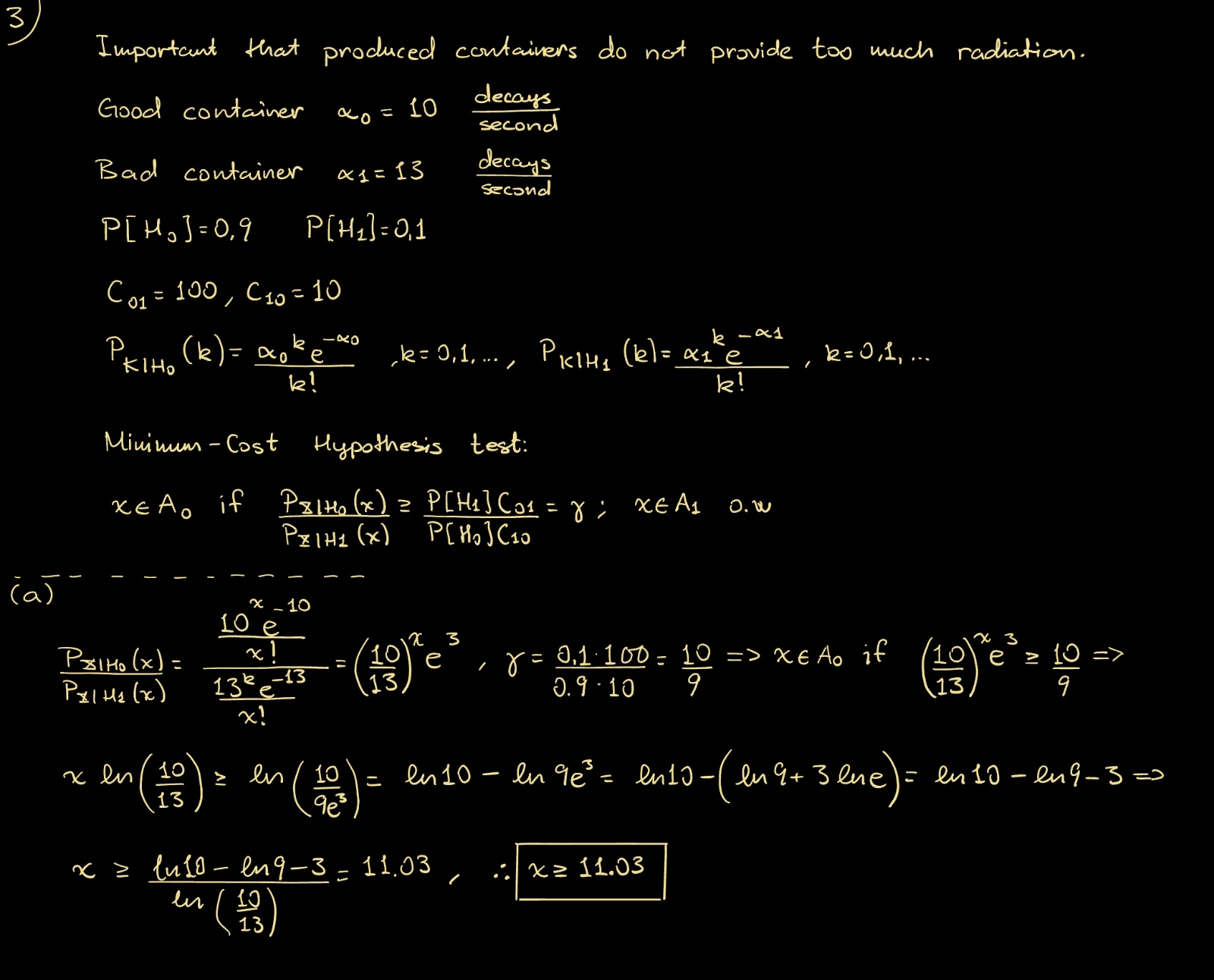
Minimum Cost Binary test
Hej, till uppgiften nedan har jag hittat för vilka x olikheten gäller. Uppgiften söker mängden A0, vet inte riktigt hur jag tar fram den? I satsen står det att om x är ett element av A0 så gäller olikheten, och det verkar stämma från de jag tagit fram. Men hur uttrycker jag A0?

