10 svar
209 visningar
nyfikenpåattveta behöver inte mer hjälp

Minpunkt cosx + sinx kurva

Hej.

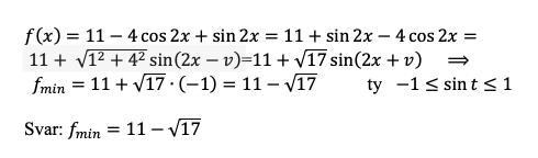
Nedan ser ni en fråga och facit till frågan. Jag har problem med denna uppgift. I tidigare uppgifter har jag förstått att man kan sätta costermen till -1 och därigenom få minsta värdet. Hur ska man veta vilken term, cosx eller sinx som man ska sätta till -1?

Som alltid, tack för er tid och hjälp!!

Yngve 42396
Postad: 7 mar 2019 20:18 Redigerad: 7 mar 2019 20:20
nyfikenpåattveta skrev:

Hej.

Nedan ser ni en fråga och facit till frågan. Jag har problem med denna uppgift. I tidigare uppgifter har jag förstått att man kan sätta costermen till -1 och därigenom få minsta värdet. Hur ska man veta vilken term, cosx eller sinx som man ska sätta till -1?

Som alltid, tack för er tid och hjälp!!

Om du har ett uttryck med bara en trigonometrisk term (sin eller cos) så kan man göra som du föreslår.

Men om man har flera termer med olika trigonometriska funktioner eller olika argument (vinklar) så fungerar inte den metoden eftersom de olika termerna då antar sitt minsta värde vid olika vinkelvärden.

Därav facits lösning där uttrycket först skrivs om så att det endast består av en trigonometrisk term. Därefter används din standardmetod med framgång.

Marx 383
Postad: 7 mar 2019 21:02

Hej!

Det går inte att veta vilken, sin eller cos, ska man sätta till -1 eftersom du har mer än en trigonometrisk term, alltså -4cos 2x och sin 2x. I facit har de använt sig av sambandet mellan y= a sin(kx) + b cos(kx) och funktionen y= A sin(x+ C), dvs. y= a sin(kx) + b cos(kx) kan skrivas om som y= A sin(x+ C), där A=(a2+b2) och tan C=ba.

Men du kan ju derivera funktionen först och sen få reda på nollställena till derivatan.

Ok!

Marx. Så om man har en funktion framför sig med mer än en trigonometrisk term, så måste man skriva om termen till en trigonometrisk term, om denna term i sin tur blir cosx eller sinx beror på ursprungsfunktionen alltså? 

Och, du skriver "derivera funktionen först och sen få reda på nollställena till derivatan". Jag gör detta:

f'(x)= sin2x/2 +cos2x/2

sin2x/2 +cos2x/2=0

Nu fastnar jag. Jag vet inte riktigt hur jag löser detta rent algebraiskt. Däremot tror jag att x har två värden (genom att se tabell med funktionsvärden), x=0 och x=3π/4.

Så Marx, hur löser man denna genom  "att derivera funktionen först och sen få reda på nollställena till derivatan"?

Dr. G 9618
Postad: 8 mar 2019 08:21

Derivatan ska vara

f'(x)=8sin2x+2cos2xf'(x) = 8\sin 2x + 2\cos 2x

Den har nollställen då

tan2x=-14\tan 2x = -\dfrac{1}{4}

Om du vet värdet på tan(2x) så vet du värdena (förutom tecknen) på sin(2x) och cos(2x).

Lösningen med facits metod blir smidigare.

Dr. G

Jag har lite svårt att se mellanstegen du gör. Har du lust att redovisa hur du kommer fram till tan2x=-1/4. ?

Ture 11067 – Livehjälpare
Postad: 8 mar 2019 10:39

8sin(2x) +2cos(2x) = 0

dela bägge led med cos(2x) och förenkla så får du Dr Gs resultat.

Juste! Men nu när jag har tan2x=-1/4. --> x=-0,12284.. Vad händer sen då?

Facit säger ju att svaret ska vara 11 - (17)^1/2.

Ture 11067 – Livehjälpare
Postad: 8 mar 2019 11:54

då har du fått fram för vilken vinkel du har ett extremvärde, sen sätter du in vinkeln i ditt ursprungliga uttryck och räknar på.

Observera att du nu har lämnat den exakta beräkningen och använder istället närmevärden, vilket inte är tillåtet.

Metoden som angavs i ditt första inlägg, dvs skriva om det som en sinusfunktion är både enklare, snabbare och exakt.

Marx 383
Postad: 9 mar 2019 13:05
nyfikenpåattveta skrev:

Ok!

Marx. Så om man har en funktion framför sig med mer än en trigonometrisk term, så måste man skriva om termen till en trigonometrisk term, om denna term i sin tur blir cosx eller sinx beror på ursprungsfunktionen alltså? 

Och, du skriver "derivera funktionen först och sen få reda på nollställena till derivatan". Jag gör detta:

f'(x)= sin2x/2 +cos2x/2

sin2x/2 +cos2x/2=0

Nu fastnar jag. Jag vet inte riktigt hur jag löser detta rent algebraiskt. Däremot tror jag att x har två värden (genom att se tabell med funktionsvärden), x=0 och x=3π/4.

Så Marx, hur löser man denna genom  "att derivera funktionen först och sen få reda på nollställena till derivatan"?

Om du vill veta hur man skriver om y= a sin(kx) + b cos(kx) i formen av y= A sin(kx+ C) så kan du titta på den här sidan :

http://www.learnify.se/Learnifyer/ObjectResources/7a41d80e-83e3-4113-912b-626976f27163/3c.html

Super, tack för hjälpen!

Svara
Close