minsta avstånd mellan punkt och linje
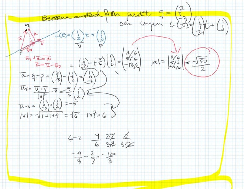
Hej jag skall beräkna minsta avstånd mellan punkt och linje. linje:(1,1,2)t+(1,1,0) och Punkt:(2,1,-3) jag får svaret sqrt(35/6) medan facit får sqrt(35)/2. Jag har gått ett annat tillvägagångsätt än facit men jag tycker ändå det ska va rätt. Kan nån hjälpa mig förstå vad jag gjort fel.
Det verkar som du gjort rätt. Jag får samma svar med en annan metod.
Kan du visa oss facit så kanske vi kan förstå varför de får ett annat svar?
igentiligen är det bara mina gamla anteckningar, så jag kanske gjorde fel då. För om du får samma svar så är det nog rätt. 
Till att börja med så förklarar du alldeles för lite för att jag skall kunna följa med i hur du resonerar.
Här försöker jag tyda det du har skrivit: Först väljer du ut en fix punkt p på linjen och beräknar avståndet från denna punkt till punkten (2,1,-3), som du kallar x. Sedan tror jag att du gör en projektion av vektorn xp på ursprungslinjen och beräknar längden av denna. Du får då fram avståndet från p till den punkt på linjen som ligger närmast punkten x, du skulle kunna kalla den punkten d. Sedan tror jag att du använder avståndsformeln för att beräkna avståndet mellan d och x. Har jag tolkat dig rätt?
Den sista komponenten i skall vara istället för . Det ger avståndet
vilket är ekvivalent med