4
svar
107
visningar
Axiom behöver inte mer hjälp
Minsta hastighet för att klara ett hopp över bil

Vid det här laget har jag gett mig på den här uppgiften tre gånger och galenskapen kryper sig allt närmare så hjälp uppskattas något enormt!
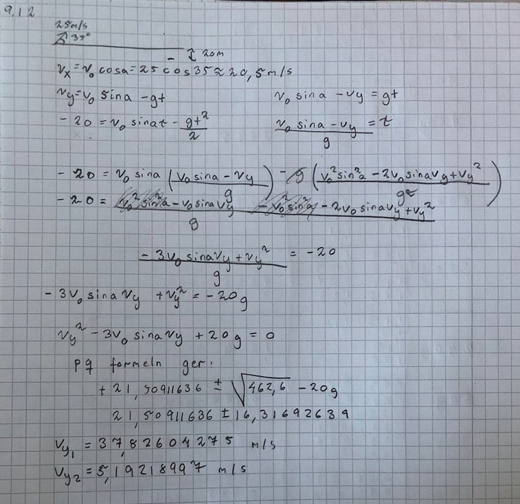
Jag har försökt såhär:

Jag fick fel svar och behöver något helt nytt tankesätt så tveka inte på att nämna det om ni har något mycket bättre! :)
Var kommer -20 ifrån?
Laguna skrev:Var kommer -20 ifrån?
Oj jag kanske tog bild på fel sida, nej men jag fick fram hastigheten från att använda formelerna för x o y-led
Du verkar sätta höjden till -20.
Såhär löste jag den:
