4
svar
180
visningar
Minsta kvadratmetoden

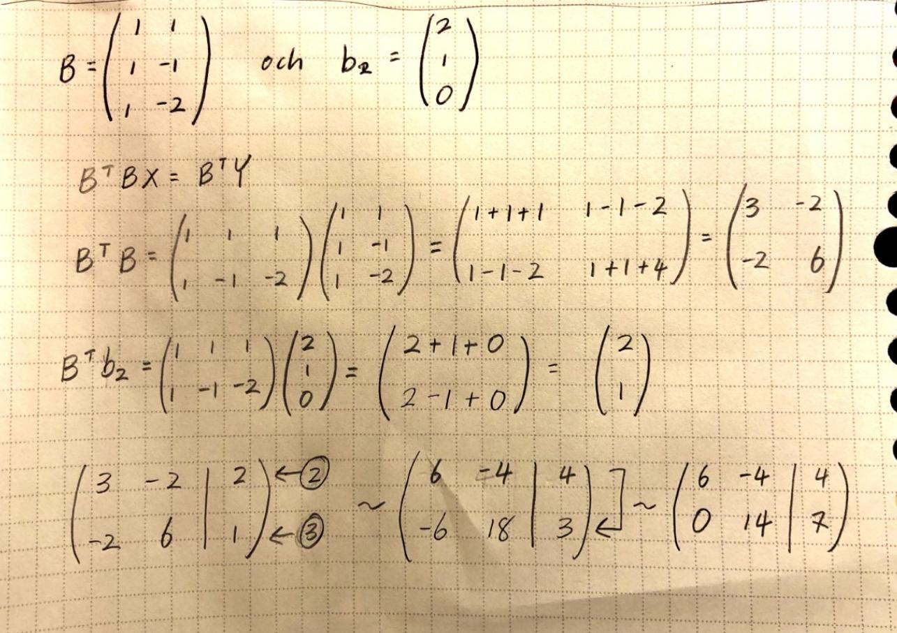
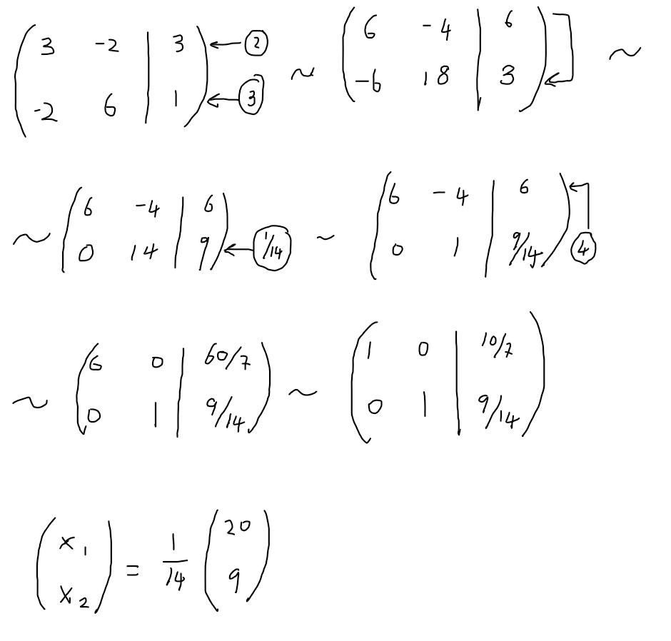
Jag behöver hjälp med uppgiften e), där ska vi användar minsta kvardratmetoden för att hittar den närmaste lösningen till en E.S som saknar lösning.
Så här har ja gjort:


Facit:

Varför blir min svar så annorlunda från facit.

