4
svar
144
visningar
Krissehiss behöver inte mer hjälp
Minustecknet
Vad är skillnaden på dessa två uttryck med tanke på minustecknet:
Respektive
Ingen skillnad.
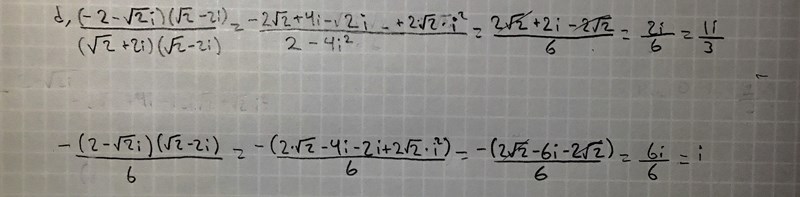
Okej, då undrar jag varför följande blir fel. Uppgiften är:
I min första uträkning skriver jag ihop minustecknet med första 2an. Detta blir fel enligt facit. I andra uträkningen låter jag minuset vara till slutet av uträkningen. Då blir det rätt.

Du multiplicerar in minustecknet i den första parentesen på fel sätt. Det borde bli .
OT: Notera i din uträkning att multiplicering av nämnarens konjugat ska ge dig ett reellt tal: