1
svar
54
visningar
Misstolkning av kvadreringsregeln.
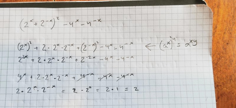
Se bilden, jag vill kvadrera enligt andra ledet uppifrån. Där jag satt pil och hänvisat med en lag.
Men något är ju fel med det jag gör, då kvadreringen nedanför ger rätt svar.
Hur har jag misstolkat detta?
Du har gjort allt rätt. Kan du beskriva lite tydligare exakt vad det är du undrar över?
