0
svar
148
visningar
destiny99 behöver inte mer hjälp
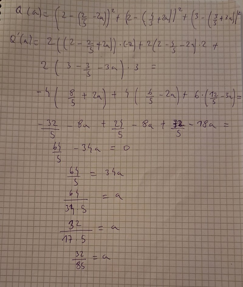
MK-skattning av a utgående från de 3 observationer



Hej!
Jag räknade separat väntevärde för varje s.v och det blir ändå fel svar på a när jag skattat den. Är det så att alla X1 ,X2 och X3 skall ha samma väntevärde enligt formeln för MK-skattning och varför kan inte varje s.v ha sitt eget väntevärde som jag räknade med?