ML Skattning - Matematisk statistik
Jag har fastnat på en gammal tentauppgift, se nedan, och förstår mig inte riktigt på lösningsförslaget. Tacksam för hjälp!

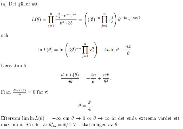
Lösningsförslaget:

Vilken del är det du inte är med på?
Hondel skrev:Vilken del är det du inte är med på?
Jag förstår att man lägger in f(x) i formeln men jag har problem med hur man sedan tar ln och deriverar
Det man gör i lösningsförslaget är att man försöker separera de faktorer som beror på parametern och de som inte beror på parametern. Detta gör det enkelt stt derivera efter att de använt räkneregeln för ln av multiplikation och får summan av tre termen. Då kan de derivera dessa tre separat, och den som inte beror på parametern blir ju derivatan 0.
Hondel skrev:Det man gör i lösningsförslaget är att man försöker separera de faktorer som beror på parametern och de som inte beror på parametern. Detta gör det enkelt stt derivera efter att de använt räkneregeln för ln av multiplikation och får summan av tre termen. Då kan de derivera dessa tre separat, och den som inte beror på parametern blir ju derivatan 0.
Okej så i detta fall beror ju inte 3! och xj^3 på theta, vilket man bryter ut. Vad innebär det att man sätter 3! upphöjt till -n och varför är dem på olika sidor av de romerska pelarna?
De romerska pelarna är bokstaven stora pi () och det betyder produkt (liknande som att stora sigma betyder summa). Alltså, du har n stycken datapunkter som är oberoende av varandra, och likelihooden av dessa är produkten av alla . Eftersom 1/3! inte beror på x kan man flytta ut den utanför produkten, och eftersom det är n stycken faktorer tar man detta upphöjt till n, och minusteckneet är fel att det står 1/3! = (3!)^-1
Ett exempel med ett lite enklare . Låt säga att vi bara har två datapunkter (n=2). Då blir likelihooden
Hondel skrev:De romerska pelarna är bokstaven stora pi () och det betyder produkt (liknande som att stora sigma betyder summa). Alltså, du har n stycken datapunkter som är oberoende av varandra, och likelihooden av dessa är produkten av alla . Eftersom 1/3! inte beror på x kan man flytta ut den utanför produkten, och eftersom det är n stycken faktorer tar man detta upphöjt till n, och minusteckneet är fel att det står 1/3! = (3!)^-1
Ett exempel med ett lite enklare . Låt säga att vi bara har två datapunkter (n=2). Då blir likelihooden
Då förstår jag! Tack så hemskt mycket för hjälpen.
Ser att jag skrivit ”fel” när jag menat skriva ”för”. Det är alltså inget ”fel” med minustecknet….