4
svar
80
visningar
vattenmelonen behöver inte mer hjälp
Modern fysik, 1D låda
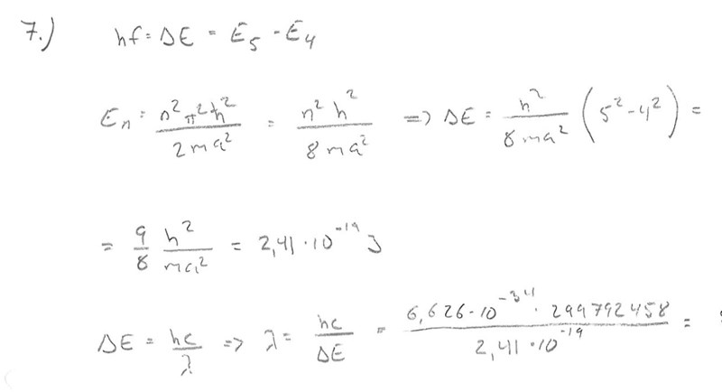
Hej, jag skulle behöva lite hjälp med att förstå lösningen till denna uppgift. Varför blir kvanttalet n = 9? Hur kan jag se det i grafen?


vattenmelonen skrev:Hej, jag skulle behöva lite hjälp med att förstå lösningen till denna uppgift. Varför blir kvanttalet n = 9? Hur kan jag se det i grafen?
Kvanttalet blir fem.
Du kan se det i lösningsförslaget också: 52 - 42 = 9.
Men blir lite fundersam, hur i grafen kan du läsa av att det blir 5? ;0
vattenmelonen skrev:hur i grafen kan du läsa av att det blir 5? ;0
Man ser att kvanttalet är fyra.
Närmast högre är fem.
ahhhh ja precis , men dåså, tack !!