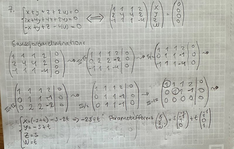
Modul 3 uppgift 7
Hej, hur löser jag nedan uppgift?
Tänkte att jag skulle gaussa så jag får ut värden för x, y, x och w för att sedan använda dem och sätta in i parameterform. Utifrån den parameterformen sen ta fram span för vektorerna.
Men har fastnat i gaussningen, vad gör jag för fel och hur tar jag mig vidare? 
Efter första Gaussningsoperationen (då du tog II-2*I) så borde siffran för variabeln w vara 2-2*2=2-4=-2, ej 0.
Bedinsis skrev:Efter första Gaussningsoperationen (då du tog II-2*I) så borde siffran för variabeln w vara 2-2*2=2-4=-2, ej 0.
Utifrån min rättning av felräkningen fick jag nu parameterformen (xyzw)= s(-2, -1, 1, 0) + t(-1, 1, 0, 1). För att skriva till span skulle jag vara kunna sätta in vektorerna jag fått fram med parameterformen tänkte jag.
Enligt facit ska dock svaret bli: span/ (0,-1,1,0) , (-3,1,0,1)/. Hur kommer jag dit?
Du gjorde ett litet räknefel precis på målsnöret.
Du får det till att
x= (-s+t)-s-2t
Det borde vara
x= -(-s+t)-s-2t
Gör om och du lär hitta samma lösning som facit.
(Om du jämför vektorerna som du fick med vektorerna som facit angav så ser du att sånär som på x-variabeln så är de identiska; det kanske skulle kunna funka som indikation på att något gick fel vid uträkningen av x-variabelns värden)
Bedinsis skrev:Du gjorde ett litet räknefel precis på målsnöret.
Du får det till att
x= (-s+t)-s-2t
Det borde vara
x= -(-s+t)-s-2t
Gör om och du lär hitta samma lösning som facit.
(Om du jämför vektorerna som du fick med vektorerna som facit angav så ser du att sånär som på x-variabeln så är de identiska; det kanske skulle kunna funka som indikation på att något gick fel vid uträkningen av x-variabelns värden)
Ah nu fattar jag! Stort tack för hjälpen, ska tänka på det :)