Modulär aritmetik med negativ rest
Hej!
Jag har precis börjat med modulär aritmetik och har följande uppgift. Med positiva tal blir den lätt att lösa!
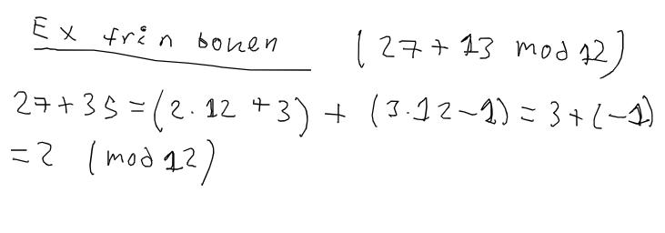
Men enligt min lärobok (som jag inte fotar rakt av p.g.a. copyright) kan man använda negativa rester och addera de nedan:

Men när jag försöker lösa en annan uppgift
och använder
får jag
alltså att
vilket inte stämmer.
Varför? Vad skiljer sig mot bokens exempel?
Jag antar att det blir fel för dig för att du skriver 2=0*12-2.
För det första vet jag inte varför du tar gånger 12?, men då detta inte ändrar värdet spelar det inte så stor roll. Det andra problemet är att du borde ta +2 istället för -2. Det gäller inte att 2=-2, inte ens för mod(7). Om du då hade skrivit 2=0*14+2 så har du 2:an här och 2:an som du har skrivit korrekt från 100 och får då 2+2=4, dvs 102=4 mod(7).
Eagle314 skrev:Jag antar att det blir fel för dig för att du skriver 2=0*12-2.
För det första vet jag inte varför du tar gånger 12?, men då detta inte ändrar värdet spelar det inte så stor roll. Det andra problemet är att du borde ta +2 istället för -2. Det gäller inte att 2=-2, inte ens för mod(7). Om du då hade skrivit 2=0*14+2 så har du 2:an här och 2:an som du har skrivit korrekt från 100 och får då 2+2=4, dvs 102=4 mod(7).
Oj det var inte många rätt jag gjorde. Nej, självklart är inte och jag menade att multiplicera med givetsvis. Jag vet såhär i efterhand helt ärligt inte vad som hände. Men tack för hjälpen:)