Moduloräkning
Hej!
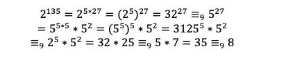
Jag ska besvara frågan "Bestäm resten då 2^135 delas med 9". Jag har lite svårt för moduloräkning och undrar dels om jag har tänkt rätt och hur jag själv kan kontrollera om svaret är rätt.
Uträkning

Tack på förhand! :)
Jag har inte lusläst din uträkning, men den ser bra ut. Resultatet är rätt, det kan man t.ex. kolla med python: skriver man in 2**135%9 så säger den 8.
Man kan utnyttja att 23 = 8 som är -1 modulo 9 så blir det enklare.
Uträkningen är korrekt.
Det gör inget att den inte tar den den snabbaste vägen, man kan lära sig optimera efter att man lärt sig grunderna.
Steget där du räknar ut 5^5=3125 är inte så snyggt eftersom det inte är uppenbart vad 3125 mod 9 är.
Där kunde du istället ha tagit (jag använder "=" som "= mod 9"):
5^27 = 5*5^26 = 5*(5^2)^13 = 5*25^13 = 5*7^13 och sen fortsatt med 5*7*7^12 = 5*7*(7^2)^6
Som Laguna skrev blir det enklare om man kan hitta en potens som ger ett tal som är 1 eller -1.
Eftersom 2^3=8 vilket är -1 mod 9 så blir
2^135=(2^3)^45 vilket är (-1)^45 = -1 vilket är 8 mod 9. Som du ser blir de väldigt kort.
Men din långa uträkning är bra övning eftersom det inte alltid finns enkla tal att hitta.
Laguna skrev:Jag har inte lusläst din uträkning, men den ser bra ut. Resultatet är rätt, det kan man t.ex. kolla med python: skriver man in 2**135%9 så säger den 8.
Man kan utnyttja att 23 = 8 som är -1 modulo 9 så blir det enklare.
Tack så jättemycket, det känns bra att jag faktiskt kan kolla att jag tänker rätt !
Programmeraren skrev:Uträkningen är korrekt.
Det gör inget att den inte tar den den snabbaste vägen, man kan lära sig optimera efter att man lärt sig grunderna.
Steget där du räknar ut 5^5=3125 är inte så snyggt eftersom det inte är uppenbart vad 3125 mod 9 är.
Där kunde du istället ha tagit (jag använder "=" som "= mod 9"):
5^27 = 5*5^26 = 5*(5^2)^13 = 5*25^13 = 5*7^13 och sen fortsatt med 5*7*7^12 = 5*7*(7^2)^6Som Laguna skrev blir det enklare om man kan hitta en potens som ger ett tal som är 1 eller -1.
Eftersom 2^3=8 vilket är -1 mod 9 så blir2^135=(2^3)^45 vilket är (-1)^45 = -1 vilket är 8 mod 9. Som du ser blir de väldigt kort.
Men din långa uträkning är bra övning eftersom det inte alltid finns enkla tal att hitta.
Tack så jättemycket!!
Programmeraren skrev:Uträkningen är korrekt.
Det gör inget att den inte tar den den snabbaste vägen, man kan lära sig optimera efter att man lärt sig grunderna.
Steget där du räknar ut 5^5=3125 är inte så snyggt eftersom det inte är uppenbart vad 3125 mod 9 är.
Där kunde du istället ha tagit (jag använder "=" som "= mod 9"):
5^27 = 5*5^26 = 5*(5^2)^13 = 5*25^13 = 5*7^13 och sen fortsatt med 5*7*7^12 = 5*7*(7^2)^6Som Laguna skrev blir det enklare om man kan hitta en potens som ger ett tal som är 1 eller -1.
Eftersom 2^3=8 vilket är -1 mod 9 så blir2^135=(2^3)^45 vilket är (-1)^45 = -1 vilket är 8 mod 9. Som du ser blir de väldigt kort.
Men din långa uträkning är bra övning eftersom det inte alltid finns enkla tal att hitta.
Glömde att fråga, har du något tips (typ hemsida eller youtube) för vart jag kan bli bättre på moduloräkning?
Inte direkt men en mattelärare som gjort många bra videos är Mårten Hultgren. Här är två om kongruens:
https://www.youtube.com/watch?v=4gmHAnoxklk&list=PL72vF2PrCcOV1D3OILnWucHIhyAcjTQKJ&index=10
https://www.youtube.com/watch?v=0OUH0SYsWRE&list=PL72vF2PrCcOV1D3OILnWucHIhyAcjTQKJ&index=11