Molaritet
Hej!
En 30% av mass hydrogen peroxide stock solution har en densitet på 1,1 g/mL. Den 10 mL av stock solution blev överförd till en 100 mL volymetrusk flaska och fylld med vatten upp till flaskans märke.
Vad är molariteten av den förberedda diluted solution?
Mitt svar blir inte rätt! Är det för att jag inte gjort om densiteten rätt 1,1*1000 eller /1000 ska man göra för det står mL.
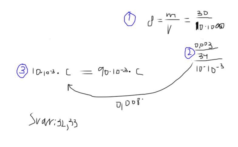
För att förklara lite mer genomgående: densiteten räknas ut först och massan blir till 30 eftersom mass procent är 30%, steg 2 blir att ta massan/molmassan/volymen för att få koncentrationen, och bilden talar sen för sig själv, men jag får fel svar dock som sagt!
Svarsalternativ:
a) 9,70 M
b) 3,24 M
c) 0,97 M
d) 0,01 M

Tråd flyttad från Natur och teknik/Kemi/Högskola till Natur och teknik/Kemi/Kemi 1. /Smutstvätt, moderator.
Det är väldigt svårt att försöka tyda dina anteckningar. Vad är det du försöker räkna ut i punkt 1? Densitet? Resten begriper jag inte alls.
Räkna med att du har 1 liter koncentrerad lösning från början. 1 liter lösning har massan 1 100 g. 30 % av detta är väteperoxid, d v s 330 g. Molmassan för väteperoxid är 34 g/mol. 330 g är alltså 9,71 mol. Koncentrationen för den starka väteperoxidlösningen är alltså 9,71 mol/dm3. Koncentrationen för den utspädda lösningen kan du förhoppningsvis räkna ut själv.
Detta är lite förvirrande:
Blir det:
cV=cV
9,71=c*10*10^-3
c=0,001 mol/dm^3 (dock inte rätt svar, då det inte finns bland alternativen)
c19,71 mol/dm3
v1 = 10 ml = 0,010 dm3
v2 = 100 ml = 0,010 dm3
v2 = ?
Du späder den koncentrerade lösningen så att volymen blir 10 ggr så stor. Hur ändras koncentrationen?
Nu blev jag lite förvirrad.
Så om volymen blir 10 ggr så stor så blir koncentrationen 10 ggr mindre.
Men nu antar jag att jag kommit fram till rätt svar.
9,71*(10*10^-3)=(100*10^-3)*c
c=0,971 M (Svar)
Är detta nu rätt uträkning, för detta svar finns bland svarsalternativen.
Ja eller nej, med svarsmotivation, om inte rätt, kan du möjlgtvis bara räkna ut hela uppgiften, för har verkligen försökt nu.
Konstigt att du, som anger att du läser kemi på högskolenivå, har problem med sådant som man lär sig i Ke1.
Att koncentrationen för den starka väteperoxidlösningen är 9,71 mol/dm3 har jag förklarat tidigare. När man späder något, tar man ut en vill volym av den starka lösningen. Substansmängden av (exempelvis) väteperoxid i den lilla volymen är . Sedan späder man med mera vatten - utan att ändra substansmängden (det är ju bara rent vatten man tillför), så .Den nya koncentrationen är . Sätter man in dina siffror, blir det . Eftersom enheterna för volym tar ut varandra, kan jag sätta in dem i ml i stället för dm3.
Hej!
Jag undrar hur 9,71*0,1/0,01 kan bli likamed 0,97 som du smaragdalena har angett, är det någonting som jag inte har förstått, för jag har använt miniräknaren och försökt på mängder av olika sätt, och svaret blir istället 97.
Tack så mycket för hjälp!
Smaragdalena råkade sätta 0,1 i täljaren och 0,01 i nämnaren på ett ställe, men det ska förstås vara tvärtom. När man späder ut en lösning tio gånger blir koncentrationen en tiondel av vad den var.