2
svar
106
visningar
Ha en fin dag behöver inte mer hjälp
Molberäkningar
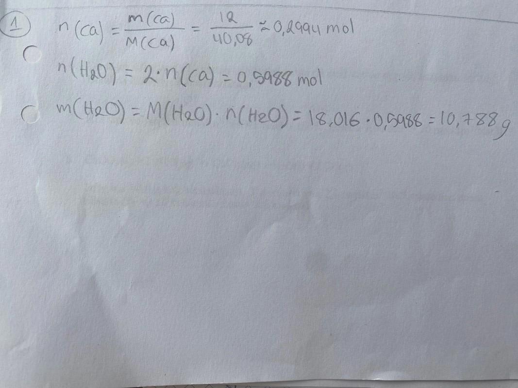
Hej! Vad blir fel i min beräkning? Svaret ska vara 22,2 g


Du har räknat ut något helt annat, nämligen hur mycket vatten man behöver för reaktionen med 12 g Ca.
Hur många mol är 12,0 g Ca? Hur många mol är 12,0 g vatten? Du ser av reaktionsformeln att det går åt 2 mol vatten för 1 mol kalcium. Vilket av ämnena kommer att ta slut?
Äsch, du har ju räknat ut att vattnet kommer att räcka - det behövs ju mindre än 12 g vatten. Vilken massa har 0,2994 mol kalciumhydroxid?