2
svar
161
visningar
Plugga12 behöver inte mer hjälp
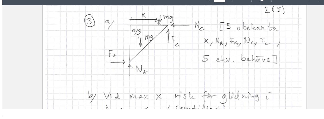
Moment- friläggning.
Hej!
När jag frilägger den här kroppen så tar jag med ett moment kring C och ett kring A, vilket innebär att kroppen är fast i väggen och inte kan vrida sig. Men facit gör inte det, nån som vet varför?


facit:

Om det var så att triangeln satt fast vid A och C så är ju informationen om friktionskoefficient helt överflödig. Så man borde kunna sluta sig till att man inte tänkt sig att triangeln sitter fast.
PATENTERAMERA skrev:Om det var så att triangeln satt fast vid A och C så är ju informationen om friktionskoefficient helt överflödig. Så man borde kunna sluta sig till att man inte tänkt sig att triangeln sitter fast.
Sant, sant. Man bli trött efter många timmar med mekanik uppgifter. Sorry.