Moment och kordinatsystem.
Hej!
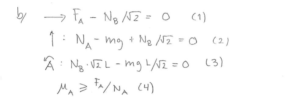
Jag har lite problem med att ställa upp moment ekvationen. I facit väljer de ett annat kordinatsystem som gör lösningen enklare. Men i min lösningen har jag valt (det vanliga kordinatsystemet), där x är längs med golvet och y vinkelrätt mot det i A.
Är min lösningen korrekt? har jag tänkt rätt?

Min facit :

Facit från lärare:

Hej!
Du har delat upp momentet från normalkraften i två bidrag, och det kan du ju göra om du vill. Men hur har du tänkt när du säger att momentarmen relativt punkten A har samma längd L för tyngdkraften? Kan du rita in momentarmen i din bild?
Tillägg: 10 aug 2024 13:43
Både du och facit använder samma koordinatsystem vid beräkningen av momentet. Men facit utnyttjar att när kraft och momentarm redan är vinkelräta mot varandra så är det bara extra jobb att dela upp beräkningen.
JohanF skrev:Hej!
Du har delat upp momentet från normalkraften i två bidrag, och det kan du ju göra om du vill. Men hur har du tänkt när du säger att momentarmen relativt punkten A har samma längd L för tyngdkraften? Kan du rita in momentarmen i din bild?
Tillägg: 10 aug 2024 13:43
Både du och facit använder samma koordinatsystem vid beräkningen av momentet. Men facit utnyttjar att när kraft och momentarm redan är vinkelräta mot varandra så är det bara extra jobb att dela upp beräkningen.
Det hjälper mycket att du sa att båda jag och facit använder samma koordinatsystem, men jag förstår inte hur facit räknar den vinkelrätta avståndet som (mg) har till moment punkten A, alltså L/sqrt(2).
Plugga12 skrev:JohanF skrev:Hej!
Du har delat upp momentet från normalkraften i två bidrag, och det kan du ju göra om du vill. Men hur har du tänkt när du säger att momentarmen relativt punkten A har samma längd L för tyngdkraften? Kan du rita in momentarmen i din bild?
Tillägg: 10 aug 2024 13:43
Både du och facit använder samma koordinatsystem vid beräkningen av momentet. Men facit utnyttjar att när kraft och momentarm redan är vinkelräta mot varandra så är det bara extra jobb att dela upp beräkningen.
Det hjälper mycket att du sa att båda jag och facit använder samma koordinatsystem, men jag förstår inte hur facit räknar den vinkelrätta avståndet som (mg) har till moment punkten A, alltså L/sqrt(2).

Hänger du med?
JohanF skrev:Plugga12 skrev:JohanF skrev:Hej!
Du har delat upp momentet från normalkraften i två bidrag, och det kan du ju göra om du vill. Men hur har du tänkt när du säger att momentarmen relativt punkten A har samma längd L för tyngdkraften? Kan du rita in momentarmen i din bild?
Tillägg: 10 aug 2024 13:43
Både du och facit använder samma koordinatsystem vid beräkningen av momentet. Men facit utnyttjar att när kraft och momentarm redan är vinkelräta mot varandra så är det bara extra jobb att dela upp beräkningen.
Det hjälper mycket att du sa att båda jag och facit använder samma koordinatsystem, men jag förstår inte hur facit räknar den vinkelrätta avståndet som (mg) har till moment punkten A, alltså L/sqrt(2).
Hänger du med?
Nu hänger jag med, tack så mycekt.
Har en sista fråga här. Om vi hade en friktion kraft (Frb )där uppe vid F, skulle den kraften (Frb) försvinna om vi tar moment kring punkten A?
Jag gissar, men jag skulle säga nej eftersom friktionskraften blir parallell med stegen.
