Moment Vektorprodukt

Vad menas i detta fallet med ”med avseende på ...”, i fall c) innebär det att man bör bestämma det kortaste avstånd från linjen till punkten punkten (1,-2,0) och hädanefter kryssa med F? Projicera något? All hjälp uppskattas!
Standardfråga 1a: Har du ritat?
Jag tror att du är på rätt spår, men det behövs en bild för att man skall vara säker.
I den här uppgiften ska du träna på den vektoriella representationen av momentberäkning. När man gör det behöver inte du tänka på något annat än kryssprodukten mellan avståndsvektorn och kraftvektorn.
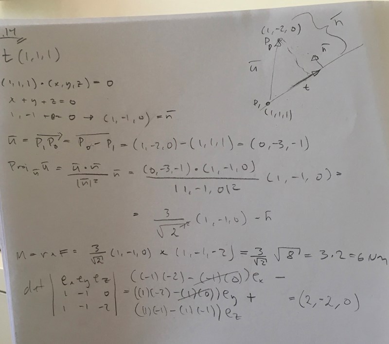
Om du ska räkna ut momentet med avseende på origo bestämmer du vektorn till punkten vilken är direkt given som (1, -2, 0) vilken du kryssar med kraftvektorn (1, -1, -2).
Detta är väldigt användbart när du har komplicerade geometrier. Specifikt eftersom den vektoriella representationen inte kräver ortogonala vektorer så som du lärde dig räkna i fysik 2.
Edit: Fundera nu på vad momentet du beräknar är för något. Det blir en vektor så om du ska beräkna den med avseende på x-axeln bör du göra vad?
Ebola skrev:I den här uppgiften ska du träna på den vektoriella representationen av momentberäkning. När man gör det behöver inte du tänka på något annat än kryssprodukten mellan avståndsvektorn och kraftvektorn.
Om du ska räkna ut momentet med avseende på origo bestämmer du vektorn till punkten vilken är direkt given som (1, -2, 0) vilken du kryssar med kraftvektorn (1, -1, -2).
Detta är väldigt användbart när du har komplicerade geometrier. Specifikt eftersom den vektoriella representationen inte kräver ortogonala vektorer så som du lärde dig räkna i fysik 2.
Edit: Fundera nu på vad momentet du beräknar är för något. Det blir en vektor så om du ska beräkna den med avseende på x-axeln bör du göra vad?
Tack, mycket hjälpsamt svar! Svarar direkt på min fråga! För att svara på din, bestämma avståndet från punkten till x-axeln relativt x-axeln själv?

Mitt försök vid c)
blygummi skrev:Tack, mycket hjälpsamt svar! Svarar direkt på min fråga! För att svara på din, bestämma avståndet från punkten till x-axeln relativt x-axeln själv?
Momentet är som bekant en vektor men rent principiellt är det en pseudovektor vilket kan enkelt förstås intuitivt baserat på kryssproduktens antikommutativitet. Detta hindrar inte dig från att ta fram projektionen för momentet i någon riktning så länge som din avståndsvektor skär en axel i den riktningen.
Med andra tar du bara fram den ortogonala projektionen av momentet i x, y och z-riktningarna. Om du beskriver dina vektorer i en traditionell, kartesisk bas är detta synonymt med att bestämma komponenterna för momentvektorn.
Jag får momentet kring (1, 1, 1) till
Edit: 7/3×(1, 1, 1)
Uträkning är
(4, 2, 1)•(1, 1, 1)/sqrt(3)(1, 1, 1)/sqrt(3)

Här är ett tips och svaret är: 7/sqrt(3)
I fråga ”b)”; Borde jag inte bara kunna projicera momentvektorn på en vektor i x axeln, exempelvis (1,0,0), (2,0,0) osv.. borde inte alla dessa ge samma svar då jag projicerar momentvektor på vektorer som går i exakt samma riktning? Dvs, lika stor del av momentvektorn projiceras på x axeln! För det finns bara en viss bestämd mängd av momentvektorn som går i x-axelns riktning, borde man därför inte kunna projicera momentvektorn på godtycklig vektor på x axeln?
I fråga ”c)”; Tipset på bilden ovan verkar säga ”hur stor del av momentvektorn M går i n’s riktning” eller vice versa. När jag utför den skalämultiplikationen enligt tipst, alltså (4,2,1)•(1,1,1)=4+2+1=7, inte 7/sqrt(3)
Du måste använda en enhetsvektor i axelns riktning. När det gäller de kartesiska axlarna är det alltså (1, 0, 0) för x-axeln vilket är varför det blir komponenten av momentet i x-axelns riktning.
Jag såg vad jag gjorde fel på c) men rättar senare om du inte lyckas lista ut ditt fel tills dess.
Ebola skrev:Du måste använda en enhetsvektor i axelns riktning. När det gäller de kartesiska axlarna är det alltså (1, 0, 0) för x-axeln vilket är varför det blir komponenten av momentet i x-axelns riktning.
Jag såg vad jag gjorde fel på c) men rättar senare om du inte lyckas lista ut ditt fel tills dess.
Okej, det verkar som att man bara kunde projicera M på det man skulle beräkna M med avseende på varefter normera. Jag har mycket svårt att visualisera vad jag egentligen gör! Om du kunde göra en snabb skiss som illustrerar det skulle det vara guld värt!
blygummi skrev:Okej, det verkar som att man bara kunde projicera M på det man skulle beräkna M med avseende på varefter normera. Jag har mycket svårt att visualisera vad jag egentligen gör! Om du kunde göra en snabb skiss som illustrerar det skulle det vara guld värt!
Precis som när du tar fram en kraftkomponent så projicerar du kraftvektorn i en specifik riktning. Problemet är att du måste ha en enhetsvektor eftersom du annars skalar den resulterande vektorn med storleken på din riktningsvektor.
Jag återkommer med en figur.
Till att börja med har vi en kropp som utsätts för en kraft vilket skapar ett moment:

Dessa vektorer ser ut som följer i ett kartesiskt koordinatsystem:

Projektionen av momentet på x-axeln blir:

Projektionen på (1, 1, 1) följer då samma princip som för x-axeln att vi vill hitta hur stor del av momentvektorn som pekar i den riktningen. Om är riktningsvektorn har vi:
Detta är en "formel" som många inte förstår så det kan vara en bra idé att studera vad som händer. Vi har alltså vektorn men om vi tar skalärprodukten av momentvektorn och riktningsvektorn kommer storleken skalas, därmed måste vi normera:
Om vi nu tar skalärprodukten kommer vi få storleken på projektionen, vill vi ha komponentvektorn måste vi multiplicera storleken med vår normerade riktningsvektor (enhetsvektor):
Ebola skrev:Till att börja med har vi en kropp som utsätts för en kraft vilket skapar ett moment:
Fen
Dessa vektorer ser ut som följer i ett kartesiskt koordinatsystem:
Projektionen av momentet på x-axeln blir:
Projektionen på (1, 1, 1) följer då samma princip som för x-axeln att vi vill hitta hur stor del av momentvektorn som pekar i den riktningen. Om är riktningsvektorn har vi:
Detta är en "formel" som många inte förstår så det kan vara en bra idé att studera vad som händer. Vi har alltså vektorn men om vi tar skalärprodukten av momentvektorn och riktningsvektorn kommer storleken skalas, därmed måste vi normera:
Om vi nu tar skalärprodukten kommer vi få storleken på projektionen, vill vi ha komponentvektorn måste vi multiplicera storleken med vår normerade riktningsvektor (enhetsvektor):
Fenomenalt! Vad fina bilder! Tänkte mig en kladd på ett a4 papper, ledsen för besväret detta må ha orsakat! Men bilderna blev jättebra och supertydliga! Jag förstår mycket bättre nu! Vad använde du för program om jag får fråga?
Det var inget besvär alls utan alltid kul att hjälpa någon med den visuella förståelsen. Så mycket av min egen förståelse och intuition handlar om att visualisera alla de här ofta abstrakta sakerna. Läser du på ett matematikprogram?
Jag använde Geogebras 3D-graf och MS paint: länk
Tack för länken! Ja, jag läser på ett matematik/fysik program!