Momentgenerande funktion

Jag vet att
men kommer inte vidare härifrån.
Om du flyttar ut konstanten och skriver som så ser du att det är en geometrisk serie.
Freewheeling skrev:Om du flyttar ut konstanten och skriver som så ser du att det är en geometrisk serie.
Okej, anade nästan att det var en geometrisk serie. Hur blir jag av med summatecknet?
Du har för en konvergent geometrisk serie att:
om
Okej, vart kommer a ifrån? Är a = 1/2 i det här fallet?
(Från min formelsamling)
Ja, du har . Den brukar även kallas konstanttermen i en geometrisk serie. Du kan nu göra som Freewheeling skrev:
Här bör det tillkomma en del krav på variabeln enligt vilket med ger:
Iallafall så långt jag förstår.
Ah, okej! Men borde det inte bli
eftersom y = 1, 2, 3, 4, ... ?
Det låter rimligt.
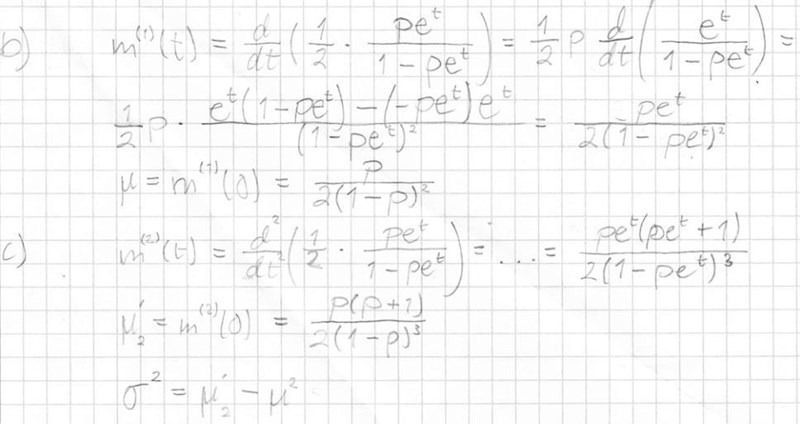
Jag lyckades med er hjälp få a)-uppgiften rätt, men någonstans i b)-uppgiften gick det fel, vilket resulterade i att c) också blev fel. Det jag har gjort för att få väntevärdet är att derivera , jag tror ni förstår hur jag har gjort i min lösning nedan.

Som ni ser så har jag helt enkelt gett upp ang. variansen då jag kände att det ändå inte skulle bli rätt.
Vad ska svaret vara i b?
Jag vet faktiskt inte, jag har inget facit. Men borde det kanske vara istället?
Hur vet du då att b är fel?
Fick feedbacken att uppgift b) och c) inte är slutförda, så kanske inte nödvändigtvis att det jag har gjort är fel då, men någonting saknas.
Testade själv och fick samma svar. På b tror jag det är att stoppa in p och få en siffra som saknas. C är rätt så långt du har gjort, men stoppa in p innan du minusar dem, för det blir inget vackert uttryck direkt.
Borde det inte egentligen vara ?
Det hade varit behändigt, då skulle jag kunna förenkla uttrycket för i b)
Egentligen brukar man kalla 1/3 för p här, om du slår upp ffg-fördelning. Eller vad tänkte du?
Ah, okej! Såhär tänkte jag:
där 1/p ju är det faktiska väntevärdet för ffg. Eller gör jag det onödigt svårt nu? Jag fick ju feedback på a)-uppgiften att den var rätt.