1 svar
153 visningar
lund behöver inte mer hjälp
lund 529 – Fd. Medlem
Postad: 9 aug 2022 22:14

Momentgenererande funktion

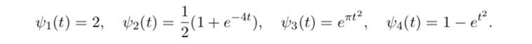
Hej, jag skulle uppskatta hjälp med att avgöra vila två av följande funktioner som är momentgenererande funktion för någon stokastisk variabel X.Enligt facit så gäller det att ψX(0)=1\psi_X(0)=1 och att ψX(t)0\psi_X(t)\ge 0 och därmed kan inte ψ1\psi_1 och ψ4\psi_4 vara MGF. Men varför kan de inte detta? Jag är med på antagandet att en momentgenererande funktion är större eller lika med noll men inte varför den första och sista funktionen inte kan vara MGF.

Moffen 1877
Postad: 9 aug 2022 22:52 Redigerad: 9 aug 2022 22:53

Hej!

Det gäller att ψ10=21\psi_1\left(0\right)=2\neq 1 så det funkar ju inte. Sen så gäller att ψ4t\psi_4\left(t\right) är avtagande och inte begränsad av 00. Sätt in ett stort värde på tt, då är et2e^{t^2} stort, så att 1-et2<01-e^{t^2}<>.

Svara
Close