3
svar
550
visningar
Fibonacci behöver inte mer hjälp
Momentmetoden

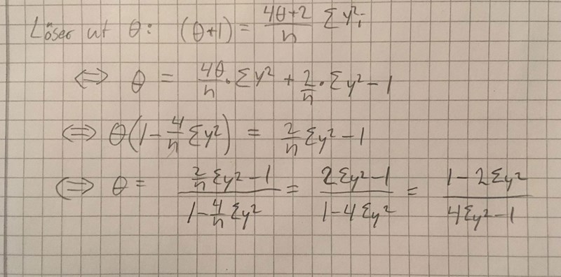
Jag kommer ingenstans med denna, har dock dragit slutsatsen att täthetsfunktionen ser ut som en Beta-fördelning.
Finns det en lösning? Moment går väl ut på att sätta väntevärdet lika med medelvärdet och lösa ut θ? Μen väntevärdet av (θ,θ) blir ju bara 1/2?
Ja, jag hittade en lösning, begriper inte så mycket dock. Men det stämmer att båda parametrarna är lika med theta, därför blir E(Y) = 0.5 (Notera att det står 5 i lösningen, men det kan helt enkelt inte stämma)

Det verkar som att man får använda andramomentet istället när det inte går att lösa från första. Såhär tror jag de har gjort.

