Mönster och formler - hur man ska tänka?
Hej! Jag har nu i 4 timmar kämpat med mönster och formler och får bara inte till tankesättet. Det handlar om rekursiva formlar och slutna formlar. Jag förstår vad båda dessa är, och har inga problem med att gå från en formel till att skriva ut talföljden. Men när det är andra hållet får jag helt hjärnfrys. Kan inte se på en talföljd och förstå hur jag kommer på vad formeln ska vara.
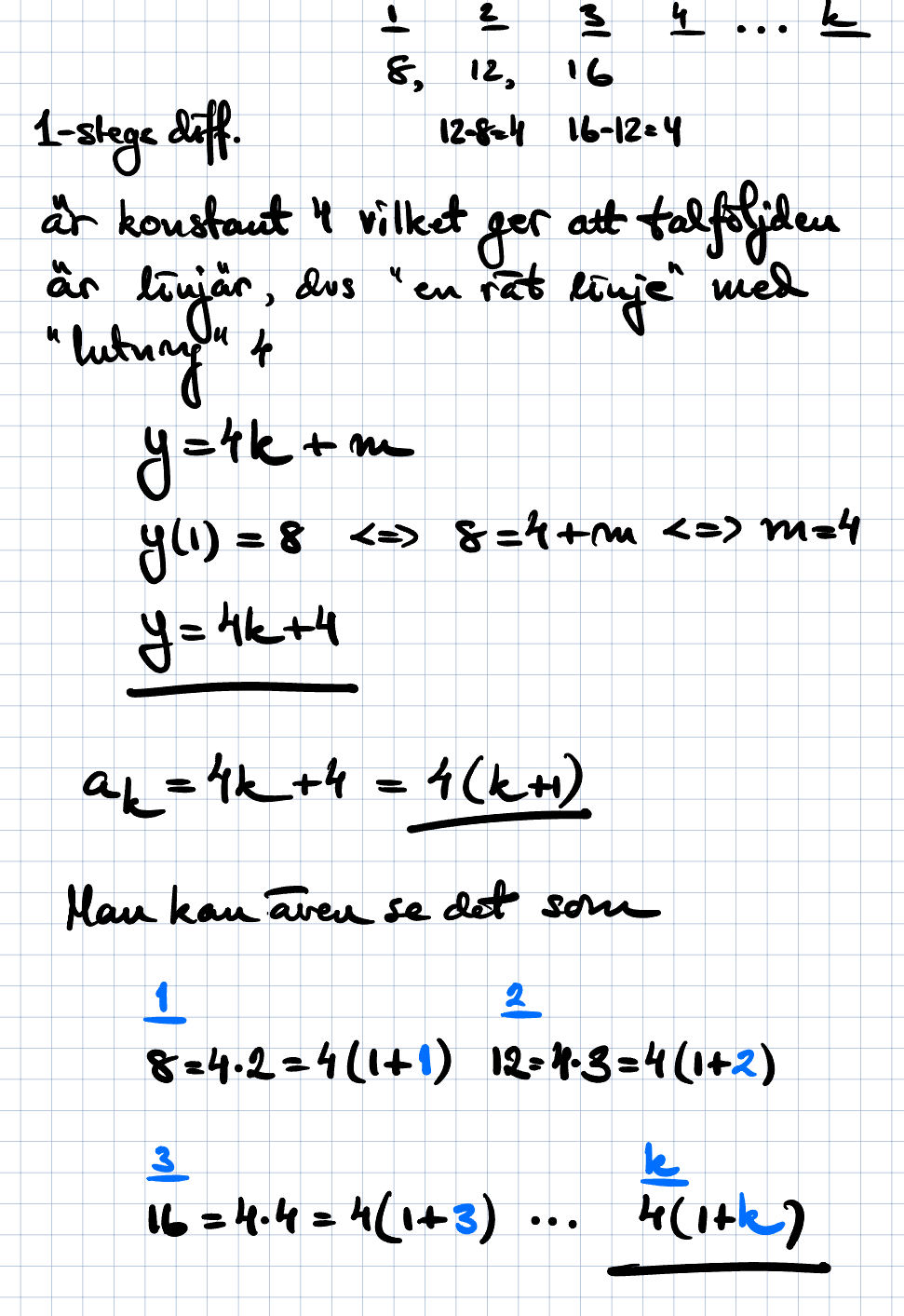
Exemplet jag gör nu är talföljden 8 12 16. Ser att det är 4 mellan varje tal - men har ingen aning hur jag skapar formeln (i detta fall ska jag göra en sluten formel).
Om någon har några generella tips och tricks på hur man ska tänka så skulle det uppskattats extremt mycket!
Sniffe04 skrev:Hej! Jag har nu i 4 timmar kämpat med mönster och formler och får bara inte till tankesättet. Det handlar om rekursiva formlar och slutna formlar. Jag förstår vad båda dessa är, och har inga problem med att gå från en formel till att skriva ut talföljden. Men när det är andra hållet får jag helt hjärnfrys. Kan inte se på en talföljd och förstå hur jag kommer på vad formeln ska vara.
Exemplet jag gör nu är talföljden 8 12 16. Ser att det är 4 mellan varje tal - men har ingen aning hur jag skapar formeln (i detta fall ska jag göra en sluten formel).
Om någon har några generella tips och tricks på hur man ska tänka så skulle det uppskattats extremt mycket!

En liten checklista:
Är differensen densamma mellan varje tal? Då är det en aritmetisk talföljd.
I ditt fall har du 8, 12, 16, ... Det första talet är a1=8. Differensen är d=4.
Vi provar att sätta in n=2 för att få nästa tal:
Det verkar ju fungera! Så här ser aritmetiska talföljder ut. Har du första talet och differensen är du hemma.
Är kvoten densamma mellan varje tal? Då är det en geometrisk talföljd.
Vi tar ett exempel: 4, 8, 16, 32, ...
Det första talet är a1=4. Kvoten är q=2.
Vi provar att sätta in n=2 för att få nästa tal:
Nu har du en formel för geometriska talföljder också. Har du första värdet och kvoten så räcker det.
Är differenserna inte desamma, men differensernas differens är det? Då är det en kvadratisk talföljd.
Ett exempel: 2, 5, 10, 17, 26, ...
Differensen mellan talen är: 3, 5, 7, 9
Differensen mellan differenserna är: 2, 2, 2, ...
Vi sätter in tre av talen:
Nu har du ett ekvationssystem med tre ekvationer och tre okända:
Lösningen är: A=1, B=0, C=1
Det ger oss:
Vi provar med n=4 och hoppas att 17 trillar ut:
Hurra!
Det var tre typer av talföljder.
Sedan finns det förstås en massa andra där ovanstående inte fungerar alls:
Det är inte alltid så lätt. Tvärtom!
Nu har du i alla fall tre verktyg att prova på okända talföljder. Hoppas det var till någon hjälp.
sictransit skrev:En liten checklista:
Är differensen densamma mellan varje tal? Då är det en aritmetisk talföljd.
I ditt fall har du 8, 12, 16, ... Det första talet är a1=8. Differensen är d=4.
Vi provar att sätta in n=2 för att få nästa tal:
Det verkar ju fungera! Så här ser aritmetiska talföljder ut. Har du första talet och differensen är du hemma.
Är kvoten densamma mellan varje tal? Då är det en geometrisk talföljd.
Vi tar ett exempel: 4, 8, 16, 32, ...
Det första talet är a1=4. Kvoten är q=2.
Vi provar att sätta in n=2 för att få nästa tal:
Nu har du en formel för geometriska talföljder också. Har du första värdet och kvoten så räcker det.
Är differenserna inte desamma, men differensernas differens är det? Då är det en kvadratisk talföljd.
Ett exempel: 2, 5, 10, 17, 26, ...
Differensen mellan talen är: 3, 5, 7, 9
Differensen mellan differenserna är: 2, 2, 2, ...
Vi sätter in tre av talen:
Nu har du ett ekvationssystem med tre ekvationer och tre okända:
Lösningen är: A=1, B=0, C=1
Det ger oss:
Vi provar med n=4 och hoppas att 17 trillar ut:
Hurra!
Det var tre typer av talföljder.
Sedan finns det förstås en massa andra där ovanstående inte fungerar alls:
Det är inte alltid så lätt. Tvärtom!
Nu har du i alla fall tre verktyg att prova på okända talföljder. Hoppas det var till någon hjälp.
Tack så jättemycket!
sictransit skrev:En liten checklista:
Är differensen densamma mellan varje tal? Då är det en aritmetisk talföljd.
I ditt fall har du 8, 12, 16, ... Det första talet är a1=8. Differensen är d=4.
Vi provar att sätta in n=2 för att få nästa tal:
Det verkar ju fungera! Så här ser aritmetiska talföljder ut. Har du första talet och differensen är du hemma.
Är kvoten densamma mellan varje tal? Då är det en geometrisk talföljd.
Vi tar ett exempel: 4, 8, 16, 32, ...
Det första talet är a1=4. Kvoten är q=2.
Vi provar att sätta in n=2 för att få nästa tal:
Nu har du en formel för geometriska talföljder också. Har du första värdet och kvoten så räcker det.
Är differenserna inte desamma, men differensernas differens är det? Då är det en kvadratisk talföljd.
Ett exempel: 2, 5, 10, 17, 26, ...
Differensen mellan talen är: 3, 5, 7, 9
Differensen mellan differenserna är: 2, 2, 2, ...
Vi sätter in tre av talen:
Nu har du ett ekvationssystem med tre ekvationer och tre okända:
Lösningen är: A=1, B=0, C=1
Det ger oss:
Vi provar med n=4 och hoppas att 17 trillar ut:
Hurra!
Det var tre typer av talföljder.
Sedan finns det förstås en massa andra där ovanstående inte fungerar alls:
Det är inte alltid så lätt. Tvärtom!
Nu har du i alla fall tre verktyg att prova på okända talföljder. Hoppas det var till någon hjälp.
När det gäller differenser på differenser som är konstanta kan man direkt säga att 2A="diff-2" vilket ger 2A=2 dvs. A=1 vilket kan hjälp om man sedan studerar 2 påföljande "diff-1".