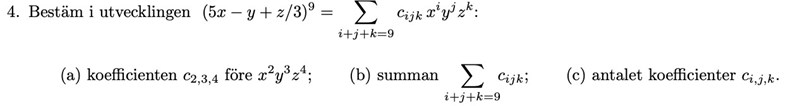
Multinomial satsen
Hej, jag har lite problem med denna uppgift och lyckas inte hitta något liknande på YouTube eller i kurslitteratur.

Jag har skissat lite på a uppgiften men det känns som att jag gjort fel någonstans i uträkningen, skulle ni kunna ta en titt?

I uppgift b och c fattar jag inte vad jag ska göra..
Du skriver att n = 9, men sen tar du 8! i täljaren.
Laguna skrev:Du skriver att n = 9, men sen tar du 8! i täljaren.
Oj, slarvigt av mig. Skall ju så klart stå 9! i täljaren.
Har kikat runt lite på forum och anammat andra sätt att beräkna koefficienten, se bild nedan.
Är detta ett korrekt svar på min fråga i a) ? anledningen till att jag är osäker är eftersom jag inte tagit hänsyn till (5x-y+z/3)^9.

Okej, nu har jag jobbat lite mer med denna uppgift och förhoppningsvis blivit lite smartare.
Jag (tror) att jag gjort rätt på fråga a och b. Se uträkningar nedan.
Fråga c förstår jag inte ens, skulle någon kunna förtydliga?
Jag resonerar så här i c uppgiften, rätta mig om jag har fel: i+j+k=9. Så jag har 11 "platser" att ha i åtanke, eftersom jag har 2 plustecken.
ska jag då helt enkelt ta (11 över 2) = 55

