1
svar
170
visningar
Naturens behöver inte mer hjälp
Multiplikation framför roten ur? Fråga
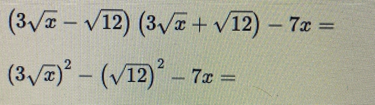
Frågan är:

Jag hänger med fram till:
men förstår inte stegen från det till: 9x-12-7x
Jag tänker
Roten ur x^2 = x
men 3:an framför roten ur x^2 tänker jag ska multipliceras med x & att ^2 alltså tillhör roten ur x och inte 3:an?
Roten ur 12^2 = 12^2 = 12•12=24, roten ur 24=12
***
kom på det
Naturens skrev:kom på det
OK bra.