Multiplikation med vektorer
Hej!
Jag har följande uppgift

Jag får svaret till -1 på a och på b att vektorerna skapar en trubbig vinkel. Stämmer detta?
min beräkning är: ((-2)∙3)+((-4)∙(-2))+(1∙(-3))=-6+8-3=-1
Och om vektor u ∙ vektor v < 0 bildar vektorerna en trubbig vinkel enligt räknelagarna.
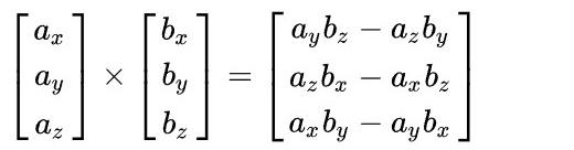
Du har räknat ut skalärprodukten , men det är kryssprodukten som söks.
Tack för hjälpen!
Jag använde denna formel från länken till wikipedia.

Då fick jag en vektor u∙v=(10,-3,16)
Stämmer svaret ovan,eller tänker jag fel?
Nästan, förmodligen glömde du ett minustecken på första komponenten, det blir ,, alltså
Du kan alltid kontrollera dina resultat med Wolfram Alpha, se denna länk
https://www.wolframalpha.com/input?i=%28-2%2C-4%2C1%29+cross+%283%2C-2%2C-3%29
Resultatet av en kryssprodukt är en vektor som är vinkelrät mot vektorerna du kryssade. Du kan därmed kontrollera ditt svar genom att ta skalärprodukten mellan resultatet och ingående vektorer då denna ska bli noll:
Då skalärprodukten inte är noll är inte vektorerna vinkelräta mot varandra och du har räknat ut en felaktig kryssprodukt.
Tusen tack för hjälpen!
SaintVenant skrev:Resultatet av en kryssprodukt är en vektor som är vinkelrät mot vektorerna du kryssade. Du kan därmed kontrollera ditt svar genom att ta skalärprodukten mellan resultatet och ingående vektorer då denna ska bli noll:
Då skalärprodukten inte är noll är inte vektorerna vinkelräta mot varandra och du har räknat ut en felaktig kryssprodukt.
Så du menar att svaret är fel? Hur ska man då göra för att få rätt svar?
johannatorn skrev:SaintVenant skrev:Resultatet av en kryssprodukt är en vektor som är vinkelrät mot vektorerna du kryssade. Du kan därmed kontrollera ditt svar genom att ta skalärprodukten mellan resultatet och ingående vektorer då denna ska bli noll:
Då skalärprodukten inte är noll är inte vektorerna vinkelräta mot varandra och du har räknat ut en felaktig kryssprodukt.
Så du menar att svaret är fel? Hur ska man då göra för att få rätt svar?
Läs igenom tråden, så hittar du svaret.