Undrar du något? Eller vill du bara visa vad du har gjort?
Jag vill veta hur mycket som är fel nu. Jag fick tidigare påpekanden på det här.
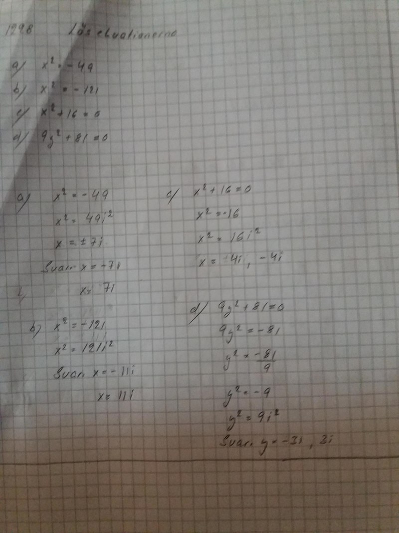
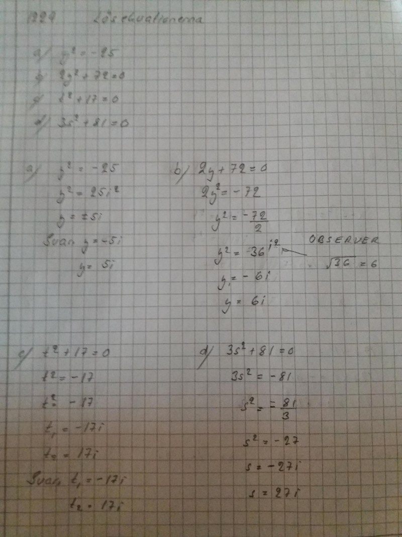
Alla exempel jag har tittat på ser ganska bra ut, men jag kan ha råkat missa någon uppgift eftersom de är så många. Det jag kan anmärka på är att du i några fall har missat i uträkningarna, fast du verkar ha fått med det i svaren. Med en sträng lärare som rättar skulle det kunna ge poängavdrag.
Är det mera fel eller ser uppställning åt nord skogarna ut efterson det är ganska bra, Magdalena?
I stort sett är det bra, tycker jag. Har du skrivit som en exponent i stället för "på samma rad"? I så fall är det tokigt.
Kan du visa vad du menar. Enligt boken är det så.
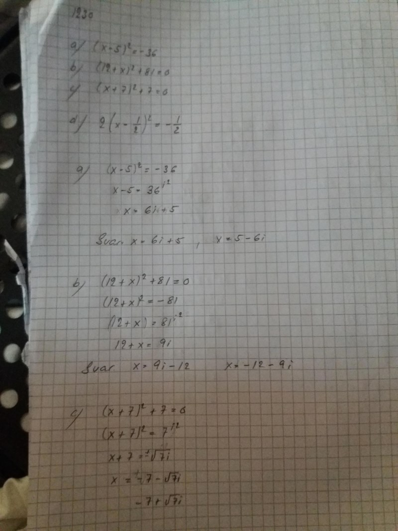
Titta t ex på uppgift 1230 b. På tredje raden har du skrivit , det borde vara .
Tack för det här, Magdalena!


