Mycket stora problem (valfritt metod att lösa ekvationen.)

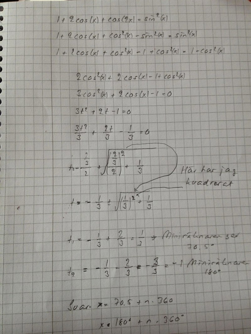
Det ser på det hela bra ut men du har missat att cos(x) = 1/3 har två lösningar
Dels 70,5 +n*360, dels -70,5 +n*360
Därutöver den sista lösningen som du har med 180+n*360
Din bild är lite suddig. Finns det ett likhetstecken på fjärde raden? (Det ovanför är likadant som jag skulle ha gjort själv.) Om det är ett likhetstecken innan 1:an - hur blev det + framför sista termen?
Du har räknat vidare som om det fortfarande var ett minustecken.
Du har glömt kvadrera första termen under rottecknet - fast på nästa rad har du det.
Hej!
Du vill finna alla tal (x) som är sådana att
Jag tänker som du att skriva detta som en ekvation som har med \cos x att göra. Med Trigonometriska ettan och Cosinus-för-dubbla-vinkeln kan ekvationen skrivas såhär.
Inför beteckningen Eftersom cosinus-funktionen alltid ger värden mellan och så kommer talet också att ligga mellan och (Detta är viktigt att notera.) Det betyder att cosinus-ekvationen är samma sak som en andragradsekvation i variabeln
Detta är samma sak som ekvationen
som du kan lösa med hjälp av PQ-formeln. Lösningsformeln ger dig två tal och
och
.
Eftersom båda dessa tal håller sig inom intervallet så ger de giltiga lösningar till det aktuella cosinus-problemet.
Den första lösningen säger att och Enhetscirkeln ger att
eller
Den andra lösningen säger att och Enhetscirkeln ger att
Dessa tal () är sådana att
Kontrollera detta med din miniräknare!
Albiki
Var fick du - 90 grader? Jag är helt borta idag.
Päivi skrev :Var fick du - 90 grader? Jag är helt borta idag.
Snälla Päivi, använd citatfunktionen! Vem är den här frågan riktad till?
Det var riktad till Albiki.
Albiki skrev :Hej!
Du vill finna alla tal (x) som är sådana att
Jag tänker som du att skriva detta som en ekvation som har med \cos x att göra. Med Trigonometriska ettan och Cosinus-för-dubbla-vinkeln kan ekvationen skrivas såhär.
Inför beteckningen Eftersom cosinus-funktionen alltid ger värden mellan och så kommer talet också att ligga mellan och (Detta är viktigt att notera.) Det betyder att cosinus-ekvationen är samma sak som en andragradsekvation i variabeln
Detta är samma sak som ekvationen
som du kan lösa med hjälp av PQ-formeln. Lösningsformeln ger dig två tal och
och
.
Eftersom båda dessa tal håller sig inom intervallet så ger de giltiga lösningar till det aktuella cosinus-problemet.
Den första lösningen säger att och Enhetscirkeln ger att
eller
Den andra lösningen säger att och Enhetscirkeln ger att
Dessa tal () är sådana att
Kontrollera detta med din miniräknare!
Albiki
Var någonstans har Albiki skrivit något om -90 grader? Jag kan inte hitta det.
Det står ingenstans. Nu såg jag det. Jag tyckte det var konstigt, men det ska vara 180 grader.
Det finns säkert flera fel i den.
Man skulle kunna sammanfyatta alltihop med att du skulle få allt rätt om du bara inte slarvade.
Päivi skrev :Det står ingenstans. Nu såg jag det. Jag tyckte det var konstigt, men det ska vara 180 grader.
Det finns säkert flera fel i den.
Hej!
Om du tror att det finns flera fel i mitt lösningsförslag så är det en bra övning för dig att finna dem.
Det är vägen till lösningen som är det viktiga, inte lösningen i sig.
Albiki
Jag såg den här 90 grader på fel ställe. Det var det som gjorde att jag tyckte att du skrev så. Jag vet inte, var jag fick för mig 90 grader. Det står ingenstans 90 grader. Strunta i det nu Albiki.
Hej igen!
Läs mitt lösningsförslag långsamt och noggrant. Se till att du förstår varje steg jag tar. Det är på så sätt en färdig lösning ska användas.
Efter att ha gått igenom min lösning ordentligt ska du känna att du också skulle kunna ha kommit fram till samma lösning.
Albiki
Jag har läst ditt Albiki!
