3
svar
117
visningar
Anonym_15 behöver inte mer hjälp
Mycket svår uppgift om sönderfall
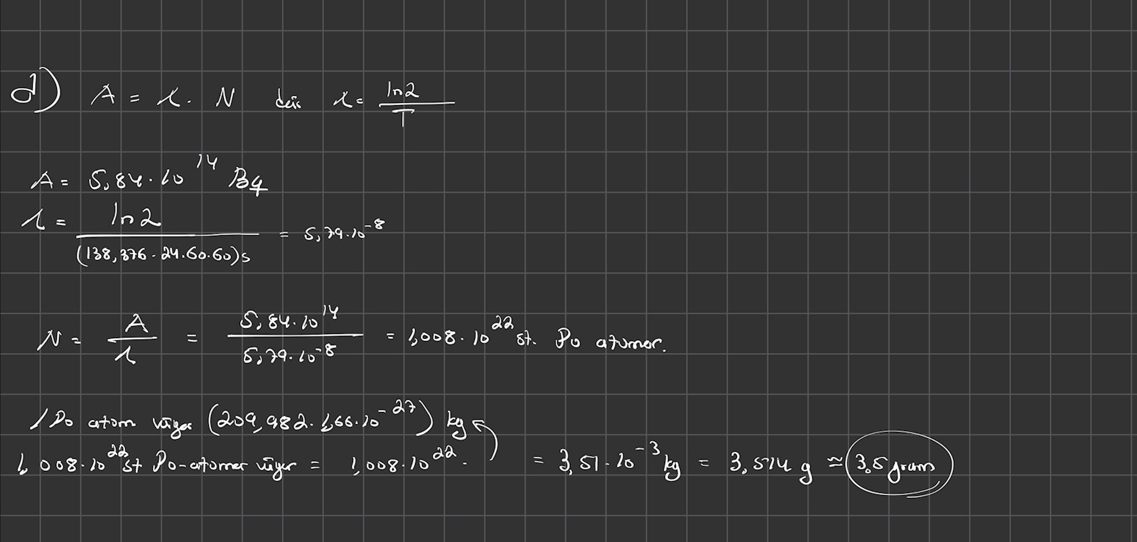
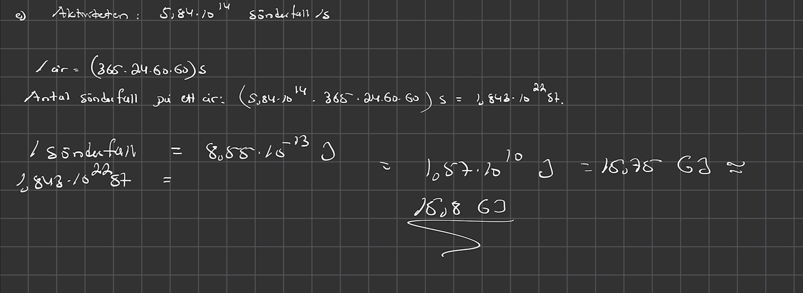
Hej, jag har hittat en svår uppgift om sönderfall och aktivitet på nätet men har inte tillgång till facit. Jag undrar om någon skulle kunna ta sin tid och kolla om jag har gjort rätt. Det hade varit till stor hjälp. Här nedan skickar jag både fråga och svar:

Tack på förhand
Jag är lite osäker om jag har räknat rätt på e) frågan. Jag tror det är fel eftersom jag ju räknar på att aktiviteten är lika stor under ett helt år.
Hade verkligen uppskattat hjälp enbart på denna fråga då jag har prov imorgon :)


