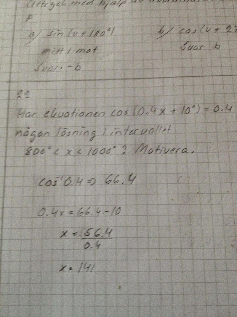
Någon lösning i intervallet.,

Ja, det är EN lösning till ekvationen.
Hittar du de andra?
Jag kommer till 861
360 + 141= 501
360 + 501= 861
-141+ 360= 219
219+ 360= 579
579+ 360= 939
Jag vet inte.
Till att börja med gäller det att hitta vinklar sådana att cosinus för vinkeln är 0.4.
Du har hittat att en sådan vinkel är 66.4 grader, och därifrån räknat fram vad x måste vara.
Hitta nu alla andra vinklar sådana att cosinus för vinkeln är 0.4, och räkna fram motsvarande x.
Kan du hjälpa med trigonometri visa. Kolla vad som är fel med efter division på den. Hur ska jag gå tillväga med denna?
Nej, ta det i den ordning jag skrev.
1) Cosinus för något är 0.4. Vad kan då något vara?
2) För varje något du hittar, räkna fram x.
EDIT: Jag menar att om man hittar ett snyggt uttryck (som innehåller N*360grader) för den där vinkeln, så kan man få ett snyggt uttryck för x (där N ingår i uttrycket)
66,4 är första
66.4 + 360=426.4
426.4 + 360 = 786.4
786,4 + 360 = 1146.4
-66.4+ 360= 293.6
293.6 + 360= 653.6
653.6 + 360 = 1013.6
Du har kommit fram till att
0,4x + 10 = +/- 66,4 + n*360 grader (avrundat).
Fortsätt nu att förenkla så att x står ensamt på ena sidan likhetstecken.
Välj sedan n så att x hamnar i önskat intervall.
Hej!
Att vinkeln ligger mellan och grader är samma sak som att vinkeln ligger mellan grader och grader, det vill säga mellan 330 grader och 410 grader.
Du vill alltså veta om det finns en vinkel () som ligger mellan 330 grader och 410 grader och som har cosinus-värdet
Albiki
-56+360= 304
304 + 360= 664
664 + 360 = 1024
Det finns ingen lösning.
Hej!
På intervallet är cosinus-funktionen växande. Eftersom och så betyder det att
På intervallet finns det därför ingen vinkel sådan att
På intervallet är cosinus-funktionen avtagande. Eftersom och så betyder det att
På intervallet finns det därför ingen vinkel sådan att
Albiki
Tack för hjälpen.
Det blir två fall:
Fall 1:
0,4x + 10 = 66,4 + n*360
0,4x = 56,4 + n*360
x = 141 + n*900
Det finns inget heltalsvärde på n som gör att 800 < x < 1000
Fall 2:
0,4x + 10 = -66,4 + n*360
0,4x = -76,4 + n*360
x = 191 + n*900
Det finns inget heltalsvärde på n som gör att 800 < x < 1000