5
svar
96
visningar
Päivi skrev :
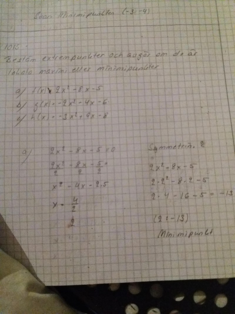
Hej Päivi.
Andra termen (8x) blev fel när du dividerade polynomet med 2.
EDIT - bra att du upptäckte felet själv.
Error
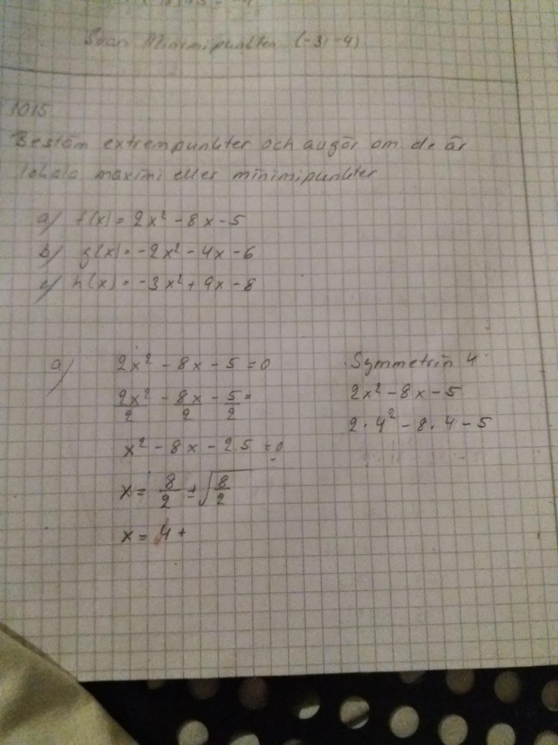
Det blev rättat och tog bort det gamla. Har du läst Yngve?
Päivi skrev :Det blev rättat och tog bort det gamla. Har du läst Yngve?
Ja. Jag har ändrat min kommentar.
Jag förmodligen ha skrivit, Yngve

