3
svar
246
visningar
sofialindast behöver inte mer hjälp
Namn på följande ämnen
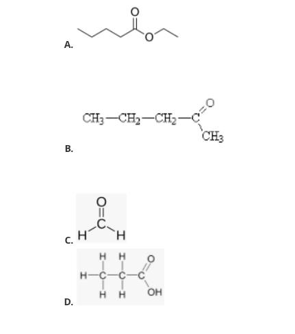
Uppgiften är att namnge dessa ämnen:


Jag tänker så här:
A: etylacetat
B: 1-metylbutanal
C: metanal
D: propansyra
E: trimetylamin
F: 2-metylpentandiol
Men några är fel.
A) är fel. Det är en ester men du har blandat ihop vilken del som kommer från syran med vilken del som kommer från alkoholen.
B) är fel. Det är en keton. Hur namnger man dem?
C) är rätt.
D) är rätt.
E) är rätt.
F) är fel. Eftersom du har sex kolatomer i kedjan är det en sorts hexanol.
A: etylpentanoat
B: butanon
F: vet jag inte ?
A är rätt.
B är är 2-pentanon.
F är 2,3-hexandiol