Namngivning

Hur namnger man denna? Varför sitter fosfatgruppen på 6e kolet?
Känner du igen vilket slags ämne det är utan fosfatgruppen?
Namnet som används är trivialnamnet, för IUPAC namnet är lite för krångligt att använda.
Glukos.
Ämnet är glukos-6-fosfat
men förstår inte varför det är sjätte kolet den sitter på?
Är det numreringen av kolatomerna i glukos som du undrar över - d.v.s. varför ett är nummer 1, ett annat nummer 2 o.s.v. ?
Eller undrar du över varför glukos fosforyleras på kol6 (av t.ex. hexokinas)?
Är det numreringen av kolatomerna i glukos som du undrar över - d.v.s. varför ett är nummer 1, ett annat nummer 2 o.s.v. ?
Ja jag undrar över varför man läser att fosfatgruppen sitter på kol 6.
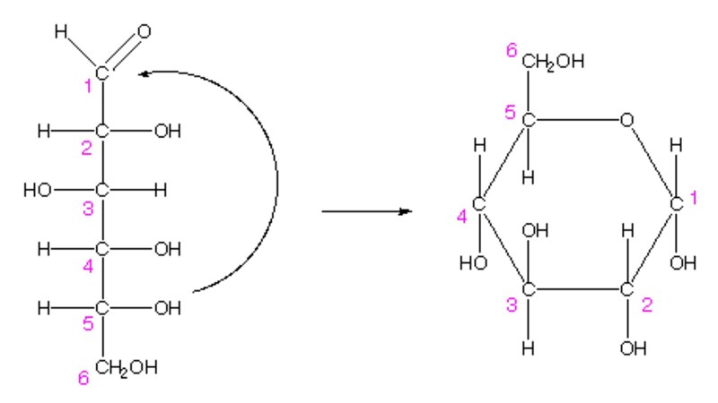
Det beror på hur kolatomerna är numrerade i glukos, vilket tydligast ses om du utgår ifrån den raka formen av glukos (källan till bilden nedan).
Aldehydgruppen har högst prioritet i namngivningen, så kolet som är del av aldehydgruppen blir kol 1. Och sedan är resten av kolen numrerade längs med kolkedjan, precis som för t.ex. kolväten.

När glukos sedan ringsluts, behåller kolatomerna sina nummer, och numreras på samma vis i den cykliska formen.
Återkommer.