namngivning av molekyler + elektrofil atom
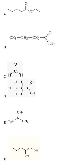
vad är namnet på följande ämnen? jag vet inte vilken av dom som är fel men gissar på att B och F är fel i alla fall
jag gissade på
A: pentyletanoat
B: 2-pentanal
C: metanal
D: propansyra
E: trimetylamin
F: 1,2-etyldiol
har även en till fråga. vilken den elektrofila atomen är i kloretan, är det inte klor?
A, B och F är fel.
A: Här har du förväxlat syra och alkohol.
B: Det är en keton, inte en aldehyd.
F: Här finns en mättad kolkedja med sex kolatomer. Ditt svar antyder att det bara finns två kolatomer.
har även en till fråga. vilken den elektrofila atomen är i kloretan, är det inte klor?
Ja det stämmer.
Teraeagle skrev:A, B och F är fel.
A: Här har du förväxlat syra och alkohol.
B: Det är en keton, inte en aldehyd.
F: Här finns en mättad kolkedja med sex kolatomer. Ditt svar antyder att det bara finns två kolatomer.
har även en till fråga. vilken den elektrofila atomen är i kloretan, är det inte klor?
Ja det stämmer.
tack! är B en keton för att den inte binder till ett ensamt väte? blir det då pentanon?
A, är inte det en form av ester?
juste glömde det. kan F kanske bli 1,2-hexadiol elr något sådant
tack! är B en keton för att den inte binder till ett ensamt väte? blir det då pentanon?
Ja det stämmer :)
A, är inte det en form av ester?
Japp
juste glömde det. kan F kanske bli 1,2-hexadiol elr något sådant
Den heter 2,3-hexandiol.
då är jag lite förvirrad efter namnet på A faktiskt. och vad gäller F, varför blir det 2,3 istället för 1,2? och tack för hjälpen :)
Du hade nästan rätt på A från början - det är etylpentanoat (du skrev pentyletanoat).
På F sitter hydroxigrupperna på kol 2 och 3, inte 1 och 2.
Teraeagle skrev:Du hade nästan rätt på A från början - det är etylpentanoat (du skrev pentyletanoat).
På F sitter hydroxigrupperna på kol 2 och 3, inte 1 och 2.
aha okej tack :)
juste juste, tänkte att den utstickande delen var första kolet på F men glömde att det är det andra eftersom den inte behöver vara rak eller hur?
Hur menar du med rak? I varje ände och hörn på kedjan finns en kolatom.
Teraeagle skrev:Hur menar du med rak? I varje ände och hörn på kedjan finns en kolatom.
ja precis men jag menar att den längsta kolkedjan är 6 kolatomer medan jag trodde att det var 5 kolatomer just för att den stack upp så där. tänkte att det var en metylgrupp men det är det ju inte. när jag sa inte rak så menade jag att kolkedjan sticker upp så men man kanske inte kan säga så?
Okej, du menar rak som "ritad rakt".
Teraeagle skrev:Okej, du menar rak som "ritad rakt".
precis