2 svar
35 visningar
Alvaa 91
Postad: Igår 16:32

när är derivatan en funktion för sig själv och när är den ett k värde i en linjär linje

när är derivatan en funktion för sig själv ex (f'(x)=2x) och när är den ett k (2x) värde i en linjär linje 2x+m om vi ex har funktioen x^2 eler ex denna uppfigt 

vrf sätter man att derivatan bli ett k värde, ska det inte vara självate deriva funktionenn uppgtdt 26 på blandade övningar kap -3 matte 3c 

thedifference 588
Postad: Igår 17:20

Jag har lite svårt att förstå din fråga, men jag försöker.

f(x)=x2f'(x)=2x

Här är derivatan 2x. Om man säger "förstaderivatan är 2x" eller "f'(x)=2x" är bara en språkfråga. Det har inte olika innebörd.

Om du undrar varför den inte har något m i sig så är det för att det inte finns en x^1-term i f(x).

g(x)=x2+3xg'(x)=2x+3

Är detta svar på din fråga?

Trinity2 Online 4172
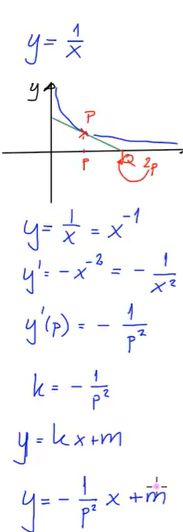
Postad: Igår 17:49

En tangent till kurvan y=f(x), f(x)=1/x i punkten (p,1/p) ges av

y = f(p) + f'(p)(x-p) = 1/p + (-1/p^2)(x-p) = 1/p-1/p^2(x-p) = 2/p-x/p^2.

Denna har ett nollställe x=2p som din figur visar.

2/p är din m-term.

Svara
Close