När kan man inte förenkla med konjugatregeln?
Hejsan. Jag fick följande uppgift i min mattebok:
Jag tänkte att jag kunde lösa den med kvadreringsregeln, men det funkade uppenbarligen inte. Jag var tvungen att förenkla på annat sätt för att få det som facit ville. Varför det? Får jag inte förenkla tal som divideras med ett annat tal då jag ska använda kvadreringsregeln?
Min lösning (hur jag löste den med kvadreringsregeln ovan och utan nedan) Svaret därnere var rätt:

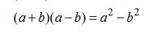
Konjugatregeln är
I det här fallet kan man använda konjugatregeln "från höger till vänster", eftersom uttrycket i frågan liknar uttrycket till höger.
Vilket uttryck är a och b i den här uppgiften?
Jag skrev fel, jag menade att jag använde kvadreringsregeln. Det borde väl ha gått?
Jag får svaret "p" på båda sätten.
Om man använder konjugatregeln blir
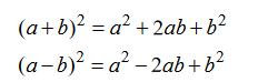
Kvadreringsregeln har formen:

Ska man använda kvadreringsreglerna måste man dela upp parenteserna så exempelvis den första blir
Men det blir krångligare uträkningar.