6 svar
101 visningar
mattegeni1 3231
Postad: 28 sep 2021 12:49

När man löser en ekvation visst söker man nollställen?

Om vi har en faktoriserad ekvation visst söker vi nollställen?

Fermatrix 7621 – Fd. Medlem
Postad: 28 sep 2021 12:51

Det beror på vad som efterfrågas men alla ekvationer (som har npgon lösning) går att skriva som HL = 0

mattegeni1 3231
Postad: 28 sep 2021 12:54
Dracaena skrev:

Det beror på vad som efterfrågas men alla ekvationer (som har npgon lösning) går att skriva som HL = 0

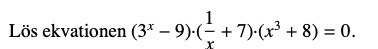
såhär står det

Fermatrix 7621 – Fd. Medlem
Postad: 28 sep 2021 12:56

Den ekvationen är satisfierad om VL = 0, och eftersom det är faktorer krävs att endast en faktor är 0.

Här söks de x-värden som gör att VL=HL=0.

mattegeni1 3231
Postad: 28 sep 2021 13:01
Dracaena skrev:

Den ekvationen är satisfierad om VL = 0, och eftersom det är faktorer krävs att endast en faktor är 0.

Här söks de x-värden som gör att VL=HL=0.

Är nollfaktorlagen och nollproduktmetoden samma sak fast har bara 2 namn?

Yngve 42666
Postad: 28 sep 2021 13:22

Ja. Jag hade faktiskt aldrig tidigare hört talas om nollfaktorlagen så jag var tvungen att googla

Smutsmunnen 1119
Postad: 28 sep 2021 13:24

Jag fick lära mig "nollfaktorsatsen" i gymnasiet insåg när jag började i högskolan att ingen förstod vad jag pratade om.

Svara
Close