triometiska ekvationer där y=0
Har fastat på en uppgift och vet inte hur jag ska ta mig vidare
Så här lyder frågan
Många av de välkända figurerna från Ankeborg har åkt på semester till en kuststad.
Björnligan rånar en juvelaffär och bytet blir ett dyrbart halsband. Kommissarie Karlsson är
dock tjuvarna på spåren och under sin flykt kastar Björnligan halsbandet på ett ställe i hamnen
där det inte är så djupt. Rånet inträffar klockan 9 och strax efter kastar Björnligan halsbandet
på den nämnda platsen.
Bovarna har dock förbisett tidvattnets inverkan, som medför att bottnen vissa tider på dygnet
är torrlagd på den plats där de kastat halsbandet. Dessa tider kan en person, som går förbi, se
halsbandet ligga på hamnens botten. Övriga tider är halsbandet täckt av hamnens smutsiga
vatten, så att man inte kan se det.
Vattendjupet y meter, på den plats där halsbandet ligger, varierar enligt formeln
där x är tiden i timmar räknat från midnatt.
Platsen besöks endast av följande personer i den tidsordning som anges:
a) Kommissarie Karlsson passerar platsen på sin rond kl. 11.
b) Jan Långben tittar på båtar i hamnen mellan kl. 12 och kl. 13
c) Björnligan smyger ner i hamnen kl. 15, för att se om dom kan upptäcka halsbandet.
d) Knatte, Fnatte och Tjatte kommer ner till hamnen för att fiska mellan kl. 16 och kl.18
e) Kalle Anka och Kajsa kommer till platsen för att sitta på en bänk och titta på solnedgången
mellan kl. 21 och kl. 22.
f) Eftersom Musse Pigg ofta hjälper kommissarie Karlsson, spanar han i hamnen kl. 23.
Vem eller vilka kommer att hitta halsbandet? Generell algebraisk lösning med noggrann
förklaring av alla möjliga tidsintervall krävs. Grafisk lösning godtas inte.
så det jag håller på med att kollar när denna ekvationen är vid y=0 ( alltså när vattnet är på noll) men känns som jag har gjort fel någonstans, för när jag kollar svaret grafiskt så fick jag x1=4 och x2=8 och inte x1=-4 och x2=4 som jag fick det rent algebraiskt
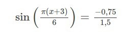
så här följer min ekvation
här omvandlar jag till radianer samt ta bort parenteserna runt x+3
Det ser ganska OK ut. Ett par saker vill jag peka på. Glöm inte vad problemet handlar om. Variabeln x är antal timmar från midnatt. Bovarna kastar bytet vid 9-tiden (på förmiddagen). Det betyder att alla matematiska lösningar för x<9 är ointressanta.
Här är allt OK:

(Allt är OK här också:
men det är lättare att diskutera utifrån den förra)
Du letar efter alla x som uppfyller
, där x>9 (ekv. 1)
Funktionen
ser ut så här:

Här har jag dragit linjen y=-0,5 också i rött. Det finns ganska många lösningar på det matematiska problemet (typ oändligt många). Vissa är intressanta andra inte.
Du räknar med radianer hela tiden. Det du gör här:

är helt enkelt att du inser att det finns många lösningar där högerledet är samma som vänsterledet i ekv 1, varav en lösning är (n=0). I min graf ser du några av de andra lösningarna.
Sedan har du en ekvation för en annan lösning, x2 som man nog lättast ser i enhetscirkeln:

I ditt fall är negativ och ligger i 4:e kvadranten. Du har en ekvation med sinus och då har du en lösning i 3:e kvadranten också. I ditt fall . Och sen upprepas bägge lösningar med perioden 2. Du har skrivit fel när du nämner x2 första gången men sen räknar du med rätt värde ser det ut som.
Kort sagt så har du gjort det mesta rätt och det är "översättningen till verkligheten" som kanske haltar. Dina 2 svar är lösningar på den matematiska ekvationen men bägge är irrelevanta eftersom bovarna slängde bytet ungefär vid 9 på förmiddagen. De riktiga lösningarna. D.v.s. de när man kan se bytet får man för sådana n där x>9.
Så jag har räknat fel ekvation än vad jag vill har. Det jag försökte göra var att räknar ut när vatten ytan var 0 och där efter ändra n-värdet för att ta reda på vilket klockslag då halsbandet är synligt. jag vet ju att den perioden som innehåller klockslaget 9 är vattentäkt då tjuvarna kastade halsbandet då. Men ska jag ändra om ekvationen i början ?
Så jag har räknat fel ekvation än vad jag vill har
Nejdå inte alls. Du hade helt rätt ansats från början. Du skrev:
när jag kollar svaret grafiskt så fick jag x1=4 och x2=8 och inte x1=-4 och x2=4 som jag fick det rent algebraiskt
Här är min graf igen. Nu med dina algebraiskt funna lösningar markerade i grönt:

Grafiskt hittade du en lösning till, nämligen 8 (markerad i svart). Och som du ser så är alla 3 lösningar matematiskt korrekta. Det är bara det att bytet hamnade i vattnet ungefär vid x=9. D.v.s. ingen av de gröna eller den svarta lösningen är relevanta.
Du undrar hur du ska hitta lösningen x=8 algebraiskt. Den får du om du sätter in lämpligt n i antingen x1 eller x2-lösningen. Det är bara det att jag nu ser att du har räknat fel i de lösningarna, trots din alldeles utmärkta ansats.
Här är dina räknefel:

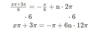
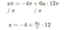
Här multiplicerar du med 6 på ett felaktigt sätt, .

Här har du dividerat med på felaktigt sätt, .
Du gör samma fel för x2.
När du har rättat till räknefelen så kommer du att nå "den svarta" lösningen x=8 genom att välja ett lämpligt n. Men som sagt lösningen x=8 är inte heller relevant för problemet.
bli det
alltså
men detta borde väl oxå bli fel då första perioden borde bli x1=4 och x2=8 rent grafiskt eller har jag tänkt fel för jag vet att i andra perioden bli x1=16 och x2=20 alltså då Knatte, Fnatte och Tjatte hittar halsbandet
min kommentar råkade fördubblade sig av någon anledning så har försökt ta bort men gick inte i alla fall kommentaren ovan är den som gäller
Det ser jättebra ut. Lösningen på ekvationen är alltså:
Den har oändligt många lösningar eftersom det finns oändligt antal olika n. Vissa lösningar hittade du själv. Ett par till syns i min graf. Man brukar inte prata om första eller andra perioden. Det räcker att skriva upp lösningen som du har gjort med ett n. Då har du fått med alla oändligt många lösningar.
Det är precis som du säger att Knattarna kommer lagom för att se vattnet dra sig tillbaka så att halsbandet syns. I min graf ser man att vattnet fortsätter att dra sig tillbaka tills kl 18, då det vänder, och sedan täcks halsbandet igen vid 20. 16 motsvarar ditt x2 för n=1. 20 motsvarar ditt x1 för n=2.