Närmaste punkt i plan till en koordinat för punkt

Facit använder ortogonal projektion. Jag förstår trots utritning av bilden inte varför. Planet går genom origo och då får man tydligen göra om punkten till vektor men vet inte varför. Och om jag hittar vektorn som är projicerad på normal vektorn för planet (2,-1,1) får jag ju inte den punkt som är närmast Q?
Ungefär hur jag tänker mig uppgiften:

Det svarta är den projecerade vektorn men hur hittar jag punkten på planet från den?
Kan någon förklara?
Visa spoiler

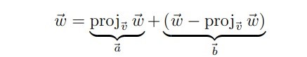
Ekvation 2.9:
generell formel för projektion:
Enklast är nog om man gör en schematisk figur där man ser planet rakt från sidan.

1. Planet går genom origo för att x=y=z=0 uppfyller ekvationen för planet.
2. Kortaste avståndet till planet fås utefter en normal till planet som går genom punkten.
3. En normal har riktning och längd, men inte läge. Alla punkter i planet har alltså en normalvektor. Sök alltså normalens riktningsvektor. Då har du både en punkt (den givna) och en riktnings vektor. Då får du normalens ekvation. Därifrån tar du dig nog vidare..
PATENTERAMERA skrev:Enklast är nog om man gör en schematisk figur där man ser planet rakt från sidan.
Ja! Detta var en superbra bild som får mig att förstå. Tack så otroligt mycket!