Natriumkarbonat
Natriumkarbonat tillsätts till en lösning med 700 ml av 0,5 M salpetersyra så att det bildas 0,15 mol CO2. Vad är pH-värdet efter avslutad reaktion?
Har svårt med att skiva en kemisk reaktion (formel) till den uppgiften.
så började jag ... Hur gör jag en fullständig kemisk resktionsformel? Hur kan det ens bildas CO2?
Hur gör jag en fullständig kemisk reaktionsformel? Hur kan det ens bildas CO2?
På precis samma sätt som in din tråd om kalciumkarbonat.
Karbonatjonerna protoneras i två steg till kolsyra, kolsyran sönderfaller till koldioxid och vatten.
Tyvärr är samtliga ämnen i formeln felaktigt skrivna.
Natriumjoner har laddningen +1 och karbonatjoner laddningen -2. Det innebär att natriumkarbonats formel är Na2CO3. En vattenlösning av natriumkarbonat innehåller fria natriumjoner och karbonatjoner. I detta fall är karbonatjonerna de som reagerar medan natriumjonerna är åskådarjoner.
En lösning av salpetersyra innehåller oxoniumjoner och nitratjoner. Det är bara oxoniumjonerna som reagerar i detta fall medan nitratjonerna är åskådarjoner.
Formeln ser ut såhär:
Hej!
Jag hänger si och så med på reaktionsformeln som du skrev. Du skriver att Na2CO3 kan ersättas med en karbonatjon i den nya reaktionsformeln. Du skriver också att i saltpetersyra finns oxoniumjoner och därför kommer HNO3 att ersättas med H3O + i reaktionsformeln .
Därför blir det så här :
( H3O+ ) + CO3 - -> H2O + H2CO3
Hur kan man fortsätta med den reaktionen så att man kommer fram till CO2?
Nej, det där är inte en korrekt reaktionsformel. Den är inte balanserad och du har inte satt ut laddningar överallt där set ska vara laddningar.
Du behöver ta reda på hur många mol oxoniumjoner som finns i 700 ml 0,5 M salpetersyra och hur många mol oxoniumjoner som har reagerat ifall det bildades 0,15 mol koldioxid. Titta på ekvivalensförhållandet i formeln som säger att två mol oxoniumjoner bildar en mol koldioxid.
2(H3O +) + CO3 (2-) > 2H2O( 2-) + H2CO3(2-)
Hur får man reaktionen som innehåller CO2?
Men varför är det så viktigt att ta bort åskådarjoner?
En korrekt reaktionsformel ska bara innehålla ämnen som faktiskt reagerar. Om du tar med åskådarjonerna är det lite som att skriva ett recept för en konservburk med korv i bröd. Man är ju inte intresserad av konservburken även fast den kommer med korven, så man skriver bara korv med bröd eftersom korven är det viktiga i sammanhanget. Allt annat kan lätt bli konstigt.
Med det sagt så händer det att en del slarvskriver och ändå tar med åskådarjonerna i formeln. Det är speciellt vanligt när man lär ut kemi till nybörjare, vilket är lite märkligt. Det är lika bra att lära sig att skriva korrekt från början.
Men varför ska det vara just karbonat joner och oxoniumjonerna? Och hur kommer man fram till kemiska reaktionen som innehåller CO2?
Hur kan det bildas CO2 utifrån den reaktionen?
CO3 2- + H3O + -> H2O + CO2?
H3O är en syra som kommer avge en proton.
då borde det ju bli
CO3H eller CHO3 hur blir det CO2?
Nu har du skrivit reaktionsformeln fyra gånger i den här tråden och alla fyra gånger har du skrivit olika formler. Varför ändrar du hela tiden formelns innehåll? Du gör det bara svårare för dig själv när du slarvar med balanseringar, laddningar osv. Jag har redan skrivit i mitt inlägg hur den korrekta formeln ser ut och du hade skrivit rätt i ditt föregående inlägg (fast där slarvade du med upphöjt och nedsänkt och lade till någon skum parentes). Man tappar lusten att svara i tråden när du fortsätter att skriva nya formler efter att du har fått veta hur den korrekta formeln ser ut.
Men varför ska det vara just karbonat joner och oxoniumjonerna?
Du vet att det sker en syrabasreaktion eftersom pH-värdet ändras. Det är bara oxoniumjonerna och karbonatjonerna som har syrabasegenskaper och kan ta upp/avge vätejoner (vattnet borträknat). Natriumjoner och joner till andra alkalimetaller kan inte göra det. Nitratjoner kan inte heller göra det eftersom de är bildade från en stark syra.
Hur kan det bildas CO2 utifrån den reaktionen?
Du förväntas lära dig och känna till att kolsyra är ett ganska speciellt ämne eftersom det är instabilt och sönderfaller till koldioxid och vatten. Det är det som gör att man får gasbubblor i en kolsyrad dryck. Du kan inte se det på formeln, utan du måste lära dig utantill att kolsyra beter sig på det sättet. När karbonatjoner stöter på oxoniumjoner kan karbonatjonerna ta upp vätejoner och bilda just kolsyra som sedan sönderfaller.
ber om ursäkt för mitt slarv!
Har suttit och pluggat i flera timmar nu.
Jag tar om det :
H3O ^ (-1) + CO3 ^ (2-) -> H2O + H2CO3 ^ (2-)
H2CO3 ^(2-) + H3O -> H2O + CO2
Om du skriver på en dator så finns det två knappar i listen ovanför inskrivningsrutan som är väldigt användbara när man skriver kemiska formler: de ser ut som x2 respektive x2. För att använda dem markerar man t ex tvåan i H2O och klockar på x2, så blir det H2O. Använd gärna dessa, så blir det mycket mindre jobbigt för oss att tyda det du har skrivit.
H3O ^ (-1) + CO3 ^ (2-) -> H2O + H2CO3 ^ (2-)
Nej, nej, nej! Att oxoniumjonen är positiv borde du ha lärt dig vid det här laget. Kolsyra är oladdat. Det behövs två oxoniumjoner för att en karbonatjon skall bli kolsyra.
Den andra formeln är lika felaktig.
Man tar alltså en karbonatjon ur natriumkarbonaten. Och en oxoniumjon ur saltpetersyran. Vad är nästa steg?
Det är precis samma formler som jag har skrivit i din tråd om kalciumkarbonat, den som harer Cellulosafibrer. Eftersom åskådarjonerna inte deltar i reaktionen, spelar det ingen roll om det är kalciumjoner eller natriumjoner.
Varför deltar inte natriumjonerna och vätejonerna inte? Dvs vrf tas de bort?( blir det bara krångligare att ha med de?) Finns det någon tumregel för när man får göra så? Är det alltid sånna reaktioner vid bildning av CO2? Vad blir nästa steg i uträkningen?
Snälla solskenet, hur många gånger skall jag behöva förklara samma sak för dig?
Varför deltar inte natriumjonerna ... inte? Dvs vrf tas de bort?( blir det bara krångligare att ha med de?) Finns det någon tumregel för när man får göra så?
Natriumjonerna är åskådarjoner. Åskådarjoner skall inte tas med i reaktionsformlerna, eftersom de inte deltar i reaktionen. Detta gäller för alla reaktionsformler, varje gång.
Varför deltar inte ... vätejonerna inte? Dvs vrf tas de bort?( blir det bara krångligare att ha med de?) Finns det någon tumregel för när man får göra så?
Vätejoner existerar inte i vattenlösning. De fastnar omedelbart på en vattenmolekyl och bildar en oxoniumjon, H3O+. Detta gäller alltid för vätejoner i vattenlösning, varje gång.
Är det alltid sånna reaktioner vid bildning av CO2? Vad blir nästa steg i uträkningen?
Ja, karbonatjoner reagerar alltid med oxoniumjoner på samma sätt. Detta påverkar t ex att vi måste vara försiktiga med vårt gamla marmorbord hemma - om man spiller något surt, t ex läsk, på det måste man vara snabb med att torka upp det om man inte vill riskera att få fläckar som inte går bort.
Jag kan direkt se att min uträkning inte är rimlig. Men så här har jag iallafall tänkt :

Kolsyra är oladdad. Bort med "2-" på produktsidan! Bortsett från detta är reaktionsformeln korrekt. Detta gäller även på reaktantsidan i nästa reaktionsformel. Denna laddning gör att formlerna inte är balanserade, eftersom det dyker upp respektive försvinner laddningar vid reaktionen.
Hur många mol oxoniumjoner finns det i 700 ml salpetersyra med koncentrationen 0,5 mol/dm3? Hur mycket finns det kvar, när 0,15 mol har förbrukats? Vilken är koncentrationen? Vilket är pH?
Vet inte om det är så du menar 
Du har rätt i att det finns 0,2 mol oxoniumjoner kvar, men koncentrationen är inte 0,2 mol/dm3. Vilken är volymen?
C=n/v
0,2 mol / 0,7 dm3= 0,2857 M
-lg [0,2857] ~ 0,544 =PH
Hur kan du veta att 0,15 mol oxoniumjoner förbrukats?
Jag har reaktionsformeln

Hur kan du veta att 0,15 mol oxoniumjoner förbrukats?
Nej, där hade jag skrivit fel, varje mol koldioxid som bildades hade ju behövt 2 mol oxoniumjoner. Det skall alltså ha förbrukats 0,30 mol oxoniumjoner . Hur mycket oxoniumjoner finns det kvar?
Hur kom du fram till att 0,30 mol oxoniumjoner har förbrukats?
Eftersom det behövs 2 mol oxoniumjoner för att 1 mol karbonatjoner skall bli till koldioxid.
CO32- + 2 H3O+ => H2CO3 + 2 H2O => CO2 + 3 H2O där jag har låtit bli att skriva ut aggregationstillstånden
Alltså
Oxoniumjoner som finns kvar är alltså 0,35-0,3=0,05 mol kvar.
n(H+)=0,05 mol
v(H+)=0,7 dm3
C= 0,0714285 M
-lg[0,0713285]=1,15 PH
Det ser riktigt ut, förutom att du fortfarande slarvar med stora och små bokstäver.
Hur kom du fram till den formeln”CO32- + 2 H3O+ => H2CO3 + 2 H2O => CO2 + 3 H2O ”
Jag kom fram till detta :
Hur kan jag med hjälp av min formel komma fram till att mängden oxoniumjoner är 0,30 mol? Om CO2 är 0,15?
Här kan du få alla steg beskrivna i ord:
- Det fasta saltet natriumkarbonat löses upp till natriumjoner och karbonatjoner.
- En karbonatjon reagerar med en oxoniumjon så att det bildas en vätekarbonatjon och en vattenmolekyl.
- En vätekarbonatjon reagerar med en oxoniumjon så att det bildas en kolsyramolekyl och en vattenmolekyl.
- En kolsyramolekyl sönderfaller till en koldioxidmolekyl och en vattenmolekyl.
Du har alla de här reaktionerna i din tråd "Cellulosafibrer", förutom att det då är kalciumjoner och inte natriumjoner i det första steget.
Vet ej om detta är rätt 
Första raden är rätt. Andra raden är fel. Kolsyra sönderfaller spontant till koldioxid + vatten utan att något annat ämne är närvarande. Efter det hänger jag inte med på vad du försöker göra. Använd gärna ord för att förklara vad det är du beräknar.
Om du menar att det fanns 0,35 mol oxoniumjoer från början så är det rätt.
Det förbrukades inte 0,15 mol oxoniumjoner för att bilda 0,15 mol koldioxid - 0,15 mol oxoniumjoner räcker bara för att bilda 0,075 mol kolsyra och därmed 0,075 mol koldioxid, eftersom det går åt 2 mol oxoniumjoner för att göra 1 mol karbonatjoner till 1 mol kolsyra.
Du har fortfarande kvar den felaktiga reaktionsformeln för kolsyrans sönderfall. Ta bort oxoniumjonen på vänstersidan! Så so det står nu är inte reaktionen balanserad.
Du behöver räkna ut hur många mol oxoniumjoner som går åt för att 0,15 mol karbonatjoner skall bli till 0,15 mol koldioxid, så att det kan bildas 015 mol koldioxid när kolsyran sönderfaller.
Är det rätt?

Nej, reaktionsformel 2 är fortfarande lika fel som förra gången du skrev den. Det är bara en enda reaktant när kolsyra sönderfaller.
vilken reaktant är det/ska det vara?
"kolsyra sönderfaller" betyder att en kolsyramolekyl faller sönder till två mindre molekyler
bildas det alltså CO2 molekyl bara?
Nej, inte bara - en syreatom och två väteatomer kan inte bara försvinna. Det bildas en molekyl till.
Det bildas alltså CO2 och H2O
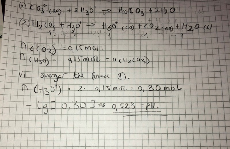
Så här tänker jag . 
Först räknar du ut att det finns 0,175 mol kolsyra och några rader längre ner räknar du ut att det finns 0,15 mol kolsyra. Vilket är det, och varför räknar du ut det andra värdet?
Ena värdet av kolsyra är för den övre reaktionsformeln och den nedre reaktionsformel använder jag mig av en ny substansmängd sen så subtraherar jag det från varandra
solskenet skrev:Ena värdet av kolsyra är för den övre reaktionsformeln och den nedre reaktionsformel använder jag mig av en ny substansmängd sen så subtraherar jag det från varandra
Varför gör du det? Enligt uppgiftstexten tillsätter man bara så mycket natriumkarbonat så att det bildas 0,15 mol koldioxid.
Ena reaktionsformeln (den övre) utgår jag från att volymen saltsyra är 0,7 dm3 och koncentrationen 0,5 mol/dm3. Vilket ger oss en substans mängd på 0,35 mol. n(H) = n(HCl) = 0,35 mol.
Den nedre reaktionsformeln utgår jag från att det bildas 0,15 mol CO2. Mol förhållandet H2CO3 : CO2 = 1:1 . Alltså n(H2CO3)=0,15 mol. Vi har 2 st väte vilket ger oss en substansmängd på 0,15*2=0,3 mol.
Skillnaden blir 0,35-0,3=0,05 mol oxoniumjoner kvar . Volymen är 700 ml. Och därefter blir det enkelt att beräkna koncentrationen av oxoniumjoner
Det du skriver nu är alldeles korrekt. Nu har du räknat ut substansmängden av oxoniumjoner från början och hur stor substansmängd natriumnitrat som behöver tillsättas för att det skall bildas 0,15 mol koldioxid. Du har också helt korrekt beräknat hur stor substansmängd oxoniumjoner som finns kvar efter reaktionen och vilket pH lösningen har efter reaktionen.
Som du märker finns det ingen anledning att beräkna hur stor substansmängd natriumkarbonat som behövs för att förbruka all salpetersyra som fanns från början. Ta bort de fyra raderna från din uträkning!
