1
svar
89
visningar
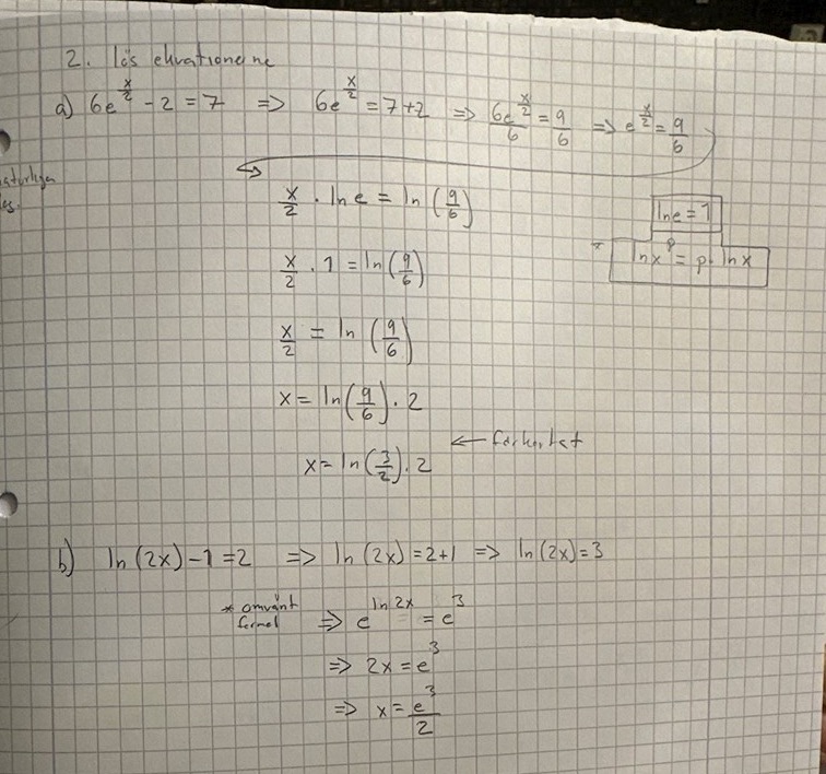
Naturliga logaritmer
Hejsan
Jag skulle behöva lite vägledning kring om jag gjort min beräknar korrekt.


Det ser bra ut.
Man brukar nog skriva , men ditt svar är rätt.