Negativ och positiv svar?
Hej!
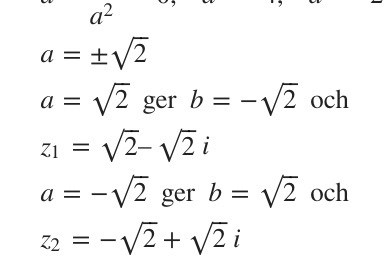
Jag har löst flera sådana ekvationer:



Vanligtvis får jag att om a är negativt är b negativt och och om a är positivt är b positivt med, men den här gången fick jag tvärtom, jag fick att om a är negativt så är b positivt och om a är positivt så är b negativt...Varför fick jag ett sådant svar?
Hodlys skrev:Hej!
Jag har löst flera sådana ekvationer:
Vanligtvis får jag att om a är negativt är b negativt och och om a är positivt är b positivt med, men den här gången fick jag tvärtom, jag fick att om a är negativt så är b positivt och om a är positivt så är b negativt...Varför fick jag ett sådant svar?
Det beror på vilken ekvation det är du löser.
Smaragdalena skrev:
Det beror på vilken ekvation det är du löser.
hur?
Om du har konstaterat att det "vanligtvis" är på ett visst sätt med lösningarna så är det säkert så, men bara av en slump. Det finns ingen princip där.
Hodlys skrev:Smaragdalena skrev:Det beror på vilken ekvation det är du löser.
hur?
Vilka rötter en ekvation har beror på vilken ekvation det är.