7 svar
2726 visningar
Bluebarry16 behöver inte mer hjälp
Bluebarry16 16
Postad: 1 sep 2018 14:22

Negativa exponenter

Vi har precis börjat med negativa exponenter men jag förstår ingenting. En av uppgifterna är att jag ska skriva "2/x" i potens form. Kan någon hjälpa mig?

AlvinB 4015
Postad: 1 sep 2018 14:26

Det finns en potensregel som säger att:

1xn=x-n\dfrac{1}{x^n}=x^{-n}

Om vi skriver ditt uttryck så här, tror du att du kan tillämpa denna potensregel?

2x=2·1x\dfrac{2}{x}=2\cdot\dfrac{1}{x}

Smaragdalena 78892 – Avstängd
Postad: 1 sep 2018 14:28

Du skall alltså skriva uttrycket på formen 2·xnånting Vad skall man upphöja x till för att det skall bli lika med 1x\frac{1}{x}?

Bluebarry16 16
Postad: 1 sep 2018 14:34
Smaragdalena skrev:

Du skall alltså skriva uttrycket på formen 2·xnånting Vad skall man upphöja x till för att det skall bli lika med 1x\frac{1}{x}?

 ×^-1 eller?

Enaya N. 37 – Fd. Medlem
Postad: 1 sep 2018 14:38

En av potenslagarna lyder såhär:  a-x = 1ax

Vi kan använda oss av den här lagen; Vi kan skriva om x till x1 eftersom allting som är upphöjt med 1 blir sig själv.
Alltså är  2x = 2x1

Vi kan också skriva 2x1 = 2×1x1 eftersom 2×1 = 2

Vi kan nu bryta ut 2 och skriva uttrycket som 2×1x1
Nu kan vi använda oss av potenslagen vi pratade om tidigare i omvänd ordning: a-x = 1ax och skriva uttrycket i potensform.

Alltså är 2×1x1 = 2×x-1 eller lite finare utan multiplikationstecknet: 2x-1

Bluebarry16 16
Postad: 1 sep 2018 14:45
Enaya N. skrev:

En av potenslagarna lyder såhär:  a-x = 1ax

Vi kan använda oss av den här lagen; Vi kan skriva om x till x1 eftersom allting som är upphöjt med 1 blir sig själv.
Alltså är  2x = 2x1

Vi kan också skriva 2x1 = 2×1x1 eftersom 2×1 = 2

Vi kan nu bryta ut 2 och skriva uttrycket som 2×1x1
Nu kan vi använda oss av potenslagen vi pratade om tidigare i omvänd ordning: a-x = 1ax och skriva uttrycket i potensform.

Alltså är 2×1x1 = 2×x-1 eller lite finare utan multiplikationstecknet: 2x-1

 Men om vi har det här då:

4 × 5^2 + 5^2 / 5^4

Nu står det att man ska skriva en potens med basen 5. Hur gör jag nu? Går det utgå efter potenslagen här också?

Enaya N. 37 – Fd. Medlem
Postad: 1 sep 2018 15:19
Bluebarry16 skrev:
Enaya N. skrev:

En av potenslagarna lyder såhär:  a-x = 1ax

Vi kan använda oss av den här lagen; Vi kan skriva om x till x1 eftersom allting som är upphöjt med 1 blir sig själv.
Alltså är  2x = 2x1

Vi kan också skriva 2x1 = 2×1x1 eftersom 2×1 = 2

Vi kan nu bryta ut 2 och skriva uttrycket som 2×1x1
Nu kan vi använda oss av potenslagen vi pratade om tidigare i omvänd ordning: a-x = 1ax och skriva uttrycket i potensform.

Alltså är 2×1x1 = 2×x-1 eller lite finare utan multiplikationstecknet: 2x-1

 Men om vi har det här då:

4 × 5^2 + 5^2 / 5^4

Nu står det att man ska skriva en potens med basen 5. Hur gör jag nu? Går det utgå efter potenslagen här också?

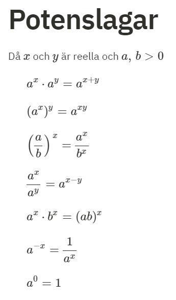
 Här är alla potenslagar som finns. Man kan även använda de omvänt vid förenkling och lösning av ekvationer och uttryck.

Men just den här uppgiften tror jag inte går att skriva i basen 5 (eller så kan inte jag lösa den)   :)

jonis10 1919
Postad: 1 sep 2018 15:22 Redigerad: 1 sep 2018 15:22
Bluebarry16 skrev:
Enaya N. skrev:

En av potenslagarna lyder såhär:  a-x = 1ax

Vi kan använda oss av den här lagen; Vi kan skriva om x till x1 eftersom allting som är upphöjt med 1 blir sig själv.
Alltså är  2x = 2x1

Vi kan också skriva 2x1 = 2×1x1 eftersom 2×1 = 2

Vi kan nu bryta ut 2 och skriva uttrycket som 2×1x1
Nu kan vi använda oss av potenslagen vi pratade om tidigare i omvänd ordning: a-x = 1ax och skriva uttrycket i potensform.

Alltså är 2×1x1 = 2×x-1 eller lite finare utan multiplikationstecknet: 2x-1

 Men om vi har det här då:

4 × 5^2 + 5^2 / 5^4

Nu står det att man ska skriva en potens med basen 5. Hur gör jag nu? Går det utgå efter potenslagen här också?

 Hej

För att inte göra det rörigt, skapa en ny tråd där vi kan hjälpa dig gällande den uppgiften.

Svara
Close