2
svar
142
visningar
Newton raphson av en integral ?
Hej.
Har följande fråga, hur ska jag kunna använda Newton Raphson när L(b) innehåller en integral, går det att skriva om den?
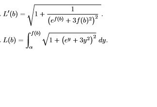
L är formeln för kurvlängden.
Vidare ska jag bestämma f(b) så att längden på kurvan L(b)blir konstanten 832


Jag har ingen aning om vad jag ska göra...

En ide jag fick var att börja med att beräkna integralen av L(b) och sedan använda det värdet helt enkelt, dvs jag har den primitiva funktionen där jag matar in mina gränser och därmed får ut mitt funktionsvärde . Men hur ska jag beräkna integralen när L är en funktion av (b) och integralen är med avseende på y...