Newtons lagar.
Hej!
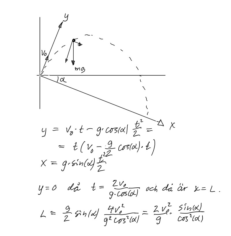
Jag löste den här uppgiften med hjälp av Newtonslagar som ni ser nedan, men fick ett annat utryck för längden L än facit då facit har löst uppgiften med intergationer osv. Ser ni något fel på min lösning? Kan dela facit om ni vill.


Facit :

Jag tycker det ser ut som att man kan lösa uppgiften på det sätt du har försökt. Jag har inte räknat själv, men två saker jag tycker att du har gjort fel på är att y-koordinaten för nedslagsplatsen är negativ, . Och accelerationen i y-led borde bli negativ, dvs .
Hänger du med? Det är viktigt att du använder samma koordinatsystem hela tiden.
Jag misstänker att när du skriver att facit löst uppgiften med integrationer, så har det utgått ifrån de matematiska sambanden
och integrerat sig fram till precis samma samband som du använder (vilka gäller vid specialfallet konstant acceleration).
Ser du hur det hänger ihop?
