NOG 1998 ht uppgift 18

Är det någon som vet hur man ska lösa den här uppgiften? Det är mycket information som man behöver organisera, och jag känner att jag inte vet hur man ska lösa den.
Är bästa metoden att man använder en tabell för att jämföra, eller ska man använda ett ekvationssystem?
Skripta ett scenario.
Om B gjorde 3 mål HL1 gör A 6 mål HL2
Kan du med denna informationen veta hur många mål b gjorde i HL2 och A gjorde i HL1?
Dracaena skrev:Skripta ett scenario.
Om B gjorde 3 mål HL1 gör A 6 mål HL2
Kan du med denna informationen veta hur många mål b gjorde i HL2 och A gjorde i HL1?
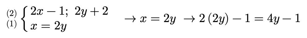
Nej, informationen är inte tillräckligt. Men detta är information (1), sen ifrån information (2) kan vi kalla målen som A gjorde för x, och målen som B gjorde för y. Då får jag att vi får x-1+x, och y+2+y. Så 2x-1, och 2y+2.
Men jag undrar om det går att kombinera information (1) och (2) för att lösa uppgiften, och om det går, hur man gör det.
Uttryck allting i x, målen A och B gör är båda beroende på x. Ytterligare krav är att x>0 därför att om x=0, så gör båda lagen inga nål och det är oavgjort.
Dessutom så hade 2 gånger mer än 0 varit ologiskt.
Dracaena skrev:Uttryck allting i x, målen A och B gör är båda beroende på x. Ytterligare krav är att x>0 därför att om x=0, så gör båda lagen inga nål och det är oavgjort.
Dessutom så hade 2 gånger mer än 0 varit ologiskt.

Så vi har alltså att jämföra mellan 4y-1 och 2y+2. Ska man sätta dem lika med varandra?
Känner mig lost på denna uppgift.
Om och med
Vi får då att eller beroende på om eller
Vad kan vi dra för slutsats nu?