NOG 1998 vt uppgift 11

I denna uppgift vet vi att varje lag ska möta de övriga två gånger. Tänker jag rätt att med info (2) och grundinformationen att svaret är 14*22? Eller hur översätter man detta ”[…] varje lag möter övriga lag två gånger.”
"Varje lag möter övriga lag två gånger" innebär att om du tar ut [lag 1] så skall det vid fotbollsseriens avslut ha spelat två matcher med [lag 2], två matcher med [lag 3], två matcher med [lag 4] osv. Att varje lag skall uppfylla detta innebär att om du istället tar ut [lag 2 ] skall de ha mött [lag 1] två gånger, [lag 3] två gånger, [lag 4] två gånger osv., och på samma sätt för alla andra lag i turneringen.
Jag håller med om att (2) ensamt borde lösa uppgiften, men inte att det blir [antalet lag]*22. Pröva en turnering på bara två lag; hur många matcher skulle då spelas?
Bedinsis skrev:"Varje lag möter övriga lag två gånger" innebär att om du tar ut [lag 1] så skall det vid fotbollsseriens avslut ha spelat två matcher med [lag 2], två matcher med [lag 3], två matcher med [lag 4] osv. Att varje lag skall uppfylla detta innebär att om du istället tar ut [lag 2 ] skall de ha mött [lag 1] två gånger, [lag 3] två gånger, [lag 4] två gånger osv., och på samma sätt för alla andra lag i turneringen.
Jag håller med om att (2) ensamt borde lösa uppgiften, men inte att det blir [antalet lag]*22. Pröva en turnering på bara två lag; hur många matcher skulle då spelas?
Det skulle spelas två matcher om vi väljer ut två lag.
Fyra matcher om vi väljer ut 3 lag, osv.?
Kan man säga då att det är en aritmetisk talföljd, och att man räknar ut den aritmetiska summan för 14 element?
Om turneringen involverar 3 lag skulle matcherna vara:
lag 1 mot lag 2 & lag 1 mot lag 2 +
lag 1 mot lag 3 & lag 1 mot lag 3 +
lag 2 mot lag 3 & lag 2 mot lag 3
= 2+2+2= 6.
Hur många matcher som spelas i en turnering med N lag ges av hur många sätt som man kan välja ut två lag av N, för att få antalet unika laguppsättningar man kan ha i en tvålagsmatch, multiplicerat med antalet matcher av varje matchuppsättning som skall spelas, dvs. 2.
Vilket visserligen inte är det som uppgiften handlar om, uppgiften handlade bara om vad som krävs för att göra problemet lösbart, men eftersom du frågar så svarar jag.
Bedinsis skrev:Om turneringen involverar 3 lag skulle matcherna vara:
lag 1 mot lag 2 & lag 1 mot lag 2 +
lag 1 mot lag 3 & lag 1 mot lag 3 +
lag 2 mot lag 3 & lag 2 mot lag 3
= 2+2+2= 6.
Hur många matcher som spelas i en turnering med N lag ges av hur många sätt som man kan välja ut två lag av N, för att få antalet unika laguppsättningar man kan ha i en tvålagsmatch, multiplicerat med antalet matcher av varje matchuppsättning som skall spelas, dvs. 2.
Vilket visserligen inte är det som uppgiften handlar om, uppgiften handlade bara om vad som krävs för att göra problemet lösbart, men eftersom du frågar så svarar jag.
Så det är permutationer, för att händelserna är beroende av varandra (vi vill ha unika matcher)?

Sedan står det i uppgiften att varje lag ska möta övriga lag två gånger. Så vi ska multiplicera 14! med 2?
Nej, nu blev det lite fel. 14! är 87178291200 vilket skulle vara fler matcher än det finns människor.
Pröva att läsa på den här sidan. Ha i åtanke att vi skall ta ut 2 lag bland 14 då vi skapar en unik matchuppsättning.
Vi kan väl börja med att räkna med 1 match mot varje annat lag: Lag 1 skall spela mot de 13 andra lagen, d v s 13 macher. Lag 2 har redan spelat mot lag 1, så de skall spela mot 12 andra lag. Lag 3 har redan spelat mot lag 1 och 2, så de skall spela mot 11 andra lag, och så vidare tills man kommer till den sista matchen mellan lag 13 och 14. Hur många matcher blir det? Och så skulle varje lag spela två matcher mot varje annat lag...
Bedinsis skrev:Nej, nu blev det lite fel. 14! är 87178291200 vilket skulle vara fler matcher än det finns människor.
Pröva att läsa på den här sidan. Ha i åtanke att vi skall ta ut 2 lag bland 14 då vi skapar en unik matchuppsättning.

Blir detta också fel? Eller räcker det att man dividerar 14! med 2?
Smaragdalena skrev:Vi kan väl börja med att räkna med 1 match mot varje annat lag: Lag 1 skall spela mot de 13 andra lagen, d v s 13 macher. Lag 2 har redan spelat mot lag 1, så de skall spela mot 12 andra lag. Lag 3 har redan spelat mot lag 1 och 2, så de skall spela mot 11 andra lag, och så vidare tills man kommer till den sista matchen mellan lag 13 och 14. Hur många matcher blir det? Och så skulle varje lag spela två matcher mot varje annat lag...

Tänker du något sånt här? Där varje kolumn motsvarar antalet unika matcher, I guess.
Dani163 skrev:Bedinsis skrev:Nej, nu blev det lite fel. 14! är 87178291200 vilket skulle vara fler matcher än det finns människor.
Pröva att läsa på den här sidan. Ha i åtanke att vi skall ta ut 2 lag bland 14 då vi skapar en unik matchuppsättning.
Blir detta också fel? Eller räcker det att man dividerar 14! med 2?
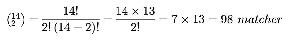
Jag satt och klurade ett bra tag på varför ovanstående uträkning blev annorlunda då jag jämförde med tabellen du gjorde då du följde Smaragdalenas metod. För det stämmer att du hamnar på uträkningen 7*13 för att få reda på antalet unika matcher. 7*13 blir dock inte 98; kontrollera vad du slog på din räknare/dina uträkningar på pappret.
Kan man inte tänka så här:
matcher per omgång.
omgångar.
Totala antalet matcher: st.
Ett sätt jag kom på att man kunde tänka när det gäller denna uppgift är att man använder ”handskakningsformeln”, dvs (n(n-1))/2. Om man säger att varje lag möter varandra en gång, så kan man skriva (14(14-1)/2) = 91 matcher. Men ifall de ska möta varandra två gånger, kan man skriva (14(14-1)/2)*2, och detta ger oss 91*2 matcher, dvs 182 matcher.
Jag tror att (n-1) faktorn kommer ifrån faktumet att man inte kan spela en match mot sig själv.
Dani163 skrev:Jag tror att (n-1) faktorn kommer ifrån faktumet att man inte kan spela en match mot sig själv.
Det stämmer.
