NOG 2004 VT Uppgift 17

Enligt påstående 1 har vi inte tillräckligt med information, eftersom vi varken vet bensinpriset per liter eller hur många liter hon tankade (men detta kanske kan framgå på ett annat sätt?)
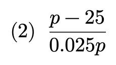
Men jag fattar inte vad påstående 2 hjälper oss med. Förutom att rabatten motsvarar 2.5% av bensinpriset, dvs att bensinpriset är , alltså 1000 ören, och eftersom det här provet är från 2004 då vi hade femtioören, så tippar jag på att det här motsvarar 10 kronor. Så jag tolkar bensinpriset som inte totala priset som de fick betala, utan priset per liter.
Men jag förstår inte hur en kombination av påstående 1&2 hjälper oss komma till en lösning. Påstående 1 säger hur mycket totala priset blir utan rabattkupong, men hur mycket blir det med rabattkupong?
Påstående två hjälper oss med en procentsats, som tillsammans med informationen om att rabatten ger 25 öre rabatt, kan användas för att hitta vad bensinpriset per liter är, precis som du har räknat. Du har rätt i att bensinpriset du får fram är literpriset, inte det totala priset.
Literpriset utan rabatt är alltså tio kronor. I (1) får vi veta hur mycket Alice bensin skulle kosta utan rabatt, och vi kan då beräkna hur många liter hon tankade (under provet bör du inte beräkna detta, men för tydlighetens skull: 312 kr / 10 kr/l = 31,2 liter).
Påstående 1 säger hur mycket totala priset blir utan rabattkupong, men hur mycket blir det med rabattkupong?
Detta är inte vad uppgiften efterfrågar. Frågan är hur många liter hon tankade.
Vi kan beräkna vad priset blir med rabatt genom att vi vet hur många liter hon tankade, samt att rabattkupongen ger 25 öre rabatt per liter, alternativt med 2,5%-infon i (2), men det behövs inte.
Smutstvätt skrev:Påstående två hjälper oss med en procentsats, som tillsammans med informationen om att rabatten ger 25 öre rabatt, kan användas för att hitta vad bensinpriset per liter är, precis som du har räknat. Du har rätt i att bensinpriset du får fram är literpriset, inte det totala priset.
Literpriset utan rabatt är alltså tio kronor. I (1) får vi veta hur mycket Alice bensin skulle kosta utan rabatt, och vi kan då beräkna hur många liter hon tankade
Blir det såhär?

Där p är bensinpriset per liter, men det här blir inte rätt. Hur ska man skriva det matematiskt?
Det borde bli . :)
Ja, det är rätt att bensinpriset är 10 kr innan rabatt.
Vi kan inte veta vad delen är utan info (1) och (2).
Jag tror att med delen så menas rabatten på priset (alltså 2.5 procent av 312 kr), delen är 7.8 kr, och procentsatsen är 2.5, och om man delar dessa på varandra får man tillbaka fullt pris utan rabatt.
Det man ska göra med delen är att veta hur många 25 öre ligger i den (eftersom man får 25 öre för varje liter), alltså hur många 25 ören som finns i 7.8 kr.
där 780 ören (vi behöver inte räkna ut detta under provet egentligen) som man sparar kommer ifrån detta

samt 25ören/L kommer ifrån grundinformationen.
Stämmer detta?
Jag förstår inte riktigt, vi ska väl räkna ut hur många liter hon Alice tankar?
Det känns som att du blandar ihop saker i dina uträkningar. Vi vet att kupongen ger 25 öre rabatt per liter. (2) ger information om hur stor procentsats rabattkupongen utgör. Vi kan då beräkna hur mycket en liter bensin kostar utan rabatt (och därmed även med rabatt). (1) ger oss information om hur mycket Alice skulle ha betalat utan rabatt, och genom att vi vet vad literpriset utan rabatt är, kan vi då svara på frågan.
Vi behöver inte, och bör inte, räkna längre än så. :)
Smutstvätt skrev:Jag förstår inte riktigt, vi ska väl räkna ut hur många liter hon Alice tankar?
Det känns som att du blandar ihop saker i dina uträkningar. Vi vet att kupongen ger 25 öre rabatt per liter. (2) ger information om hur stor procentsats rabattkupongen utgör. Vi kan då beräkna hur mycket en liter bensin kostar utan rabatt (och därmed även med rabatt). (1) ger oss information om hur mycket Alice skulle ha betalat utan rabatt, och genom att vi vet vad literpriset utan rabatt är, kan vi då svara på frågan.
Vi behöver inte, och bör inte, räkna längre än så. :)
Bara jag som ville göra en enhetsanalys för att det inte ska bli ett problem i framtiden att lösa liknande uppgifter :)!
Okej, då förstår jag!