1 svar
110 visningar
Simonload10 behöver inte mer hjälp
Simonload10 47
Postad: 12 aug 2025 11:37

Nokflex 2225

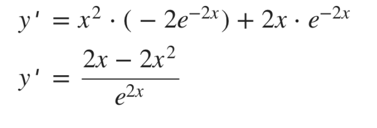
jag förstår inte hur man ska tänka när man löser detta. Jag trodde att motiveringen till varför det gick att skriv om en kvot som en produkt hade med en potenslag att göra, alltså denna

Jag förstår inte heller hur denna omskrivning går till

hur når man resultatet utifrån det faktum att det finns två stycken e^(-2) i två termer som är olika stora? Motiveringen för b fanns inte i formelbladet.

Bedinsis 3343
Postad: 12 aug 2025 11:55

De två e-2x-faktorerna är lika stora. Man kan skriva om dem som bråk samt bryta ut dem.

x2*-2*e-2x+2x*e-2x=x2*-2*1e2x+2x*1e2x=1e2x*x2*-2*1+2x*1=1e2x*-2*x2+2x=-2*x2+2xe2x=2x-2*x2e2x

Det de menar med motiveringen är att om en funktion kan uttryckas som en funktion delat med en annan kan man betrakta funktionen i nämnaren som en ny funktion som ges av 1 delat på funktionen i nämnaren, och skriva om funktionen uttryckt som ett bråk som en funktion uttryckt som en multiplikation. Sedan gäller räknelagarna för sammansatta funktioner.

Svara
Close