2
svar
91
visningar
Simonload10 behöver inte mer hjälp
Nokflex 2332
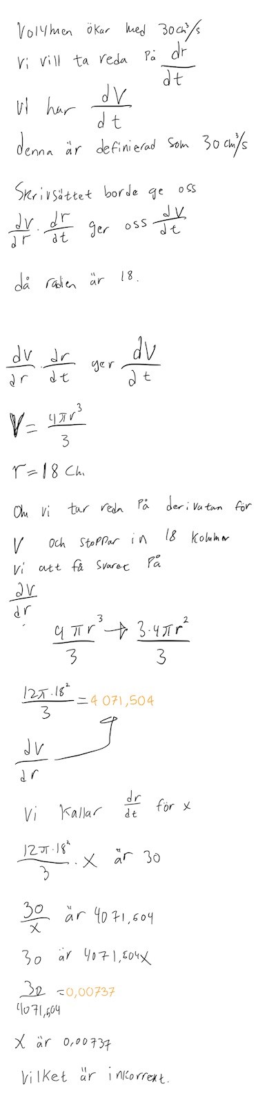
Kan någon förklara ingående vad jag gör för fel här? Jag behöver förstå exakt hur jag tänkte fel här.


Anger du svaret med ett rimligt antal värdesiffror? Tänk t.ex. att dV/dt i uppgiften anges med två värdesiffror.
Det var det som var felet! Tackar. Två värdesiffror alltså 0,0074 var korrekt.