Nokflex uppgift 1365 matematik 4


ursäkta för min dåliga handstil.
Det verkar som att vissa värden försvann. Jag skrev i kalkylatorerna så jag vet inte varför värdena försvann. Jag bifogar lite skärmdumpar istället.


Det är väldigt lätt att göra fel på detta. Det är i steget när man gör arcsin (eller motsvarande) som man måste vara noggrann. Miniräknaren ger i allmänhet ett svar i 1:a kvadraten men det finns fler vinklar/svar. Du verkar vara med på det men det blir lite fel ändå.
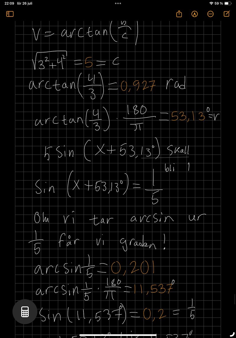
Du har alltså . Om vi tar det stegvis:
Här är det bra om man direkt tänker på enhetscirkeln. Vilka vinklar ger ett sinusvärde på 0,2? Miniräknaren ger sin sagt bara 1 svar. De 2 lösningarna blir då:
Och sen är det bara att fortsätta.
Sinus av en negativ vinkel kan vara positiv (tex sin(-185)). Tänk på en sinuskurva till vänster om y-axeln. Den är ofta positiv. Men det är inte det som du inte förstår, tror jag. Du tänkte nog att inte kan vara positiv och det stämmer. Men det du har kommit fram till är att är positiv (typ 0,2 ungefär) och det stämmer också.